Artículo de InvestigaciónRafel Chieza Fortes García 1, Rafael Melo de Oliveira 2, Eduardo Camillo Martinez 3, Eduardo Borba Neves 4
1 Department of Physiology, Brazilian Army Research Institute of Physical Fitness, Río de Janeiro, Brazil. ORCID: https://orcid.org/0000-0002-1968-4882. Email.: rafaelcfgarcia@gmail.com
2 MSc. Department of Physiology, Brazilian Army Research Institute of Physical Fitness, Río de Janeiro, Brazil. ORCID: https://orcid.org/0000-0002-9648-3208. Email.: majormelo98@hotmail.com
4 PhD. Department of Physiology, Brazilian Army Research Institute of Physical Fitness, Río de Janeiro, Brazil. ORCID: https://orcid.org/0000-0003-4507-6562. Email: neveseb@gmail.com
Archivos de Medicina (Manizales) Volumen 20 N° 1, Enero-Junio 2020, ISSN versión impresa 1657-320X, ISSN versión en línea 2339-3874, García R.C.F., Oliveira R.M., Martinez E.C., Neves E.B. MD.
Recibido para publicación: 14-09-2019 - Versión corregida: 11-12-2019 - Aprobado para publicación: 14-12-2019
García RCF, Oliveira RM, Martinez EC, Neves EB. VO2 Estimation equation accuracy to young adults. Arch Med (Manizales) 2020; 20(1):33-9.DOI: https://doi.org/10.30554/archmed.20.1.3476.2020
Objective: analyze the agreement of the V̇O2max values estimated by American College of Sports Medicine and Foster equations with direct measure gas analyze in young Brazilian males. The maximal oxygen uptake, as a health indicator and mortality predictor, can be assessed in different ways. The gold standard comprises the direct measurement of exhaled gases, which entails high cost. A more conveniently form can be estimation equations. Materials and methods: this study assessed VO2max of 41 young Brazilian males (21.4 ±2.2 years) by cardiopulmonary exercise test in a treadmill ergometer with a ramp protocol. Bland and Altman analysis was performed to verify the agreement between V̇O2max measured and estimated values by ACSM and Foster equations. Results: the measured VO2max was 52.3 ± 4.9 ml.kg-1.min-1. The difference between the measured V̇O2max and the estimated V̇O2max by the ACSM equation (9.40±3.67) was approximately 7.5 times greater than the difference between the measured V̇O2max and estimated V̇O2max by Foster’s equation (1.25±3.46). Bland Altman graphics shows that only ACSM equation had mean differences that were significantly different from the measured value. Conclusions: the ACSM equation showed not appropriate for during treadmill stress testing young adults in a ramp protocol and Foster equation seems to be a more accurate estimator of V̇O2max for this population, besides showed a bias along the aerobic capacity, trending to overestimates and underestimates V̇O2max of least and most fit people, respectively.
Keywords: oxygen consumption, exercise, physical exertion, ergometry, exercise test.
Objetivo: analizar la concordancia de los valores de VO2max estimados por las ecuaciones del Colegio Americano de Medicina del Deporte y de Foster con el análisis de gases de medida directa en varones brasileños jóvenes. el consumo máximo de oxigeno, como un indicador de salud y predictor de mortalidad, se puede evaluar de diferentes maneras. El estándar de oro comprende la medición directa de los gases exhalados, lo que implica un alto costo. Una forma más conveniente puede ser las ecuaciones de estimación. Materiales y métodos: este estudio evaluó el VO2máx de 41 hombres brasileños jóvenes (21,4 ± 2,2 años) mediante una prueba de ejercicio cardiopulmonar en un ergómetro en cinta ergométrica con un protocolo de rampa. El análisis de Bland y Altman se realizó para verificar la concordancia entre V̇O2max medido y valores estimados por las ecuaciones del ACSM y de Foster. Resultados: el VO2max medido fue de 52,3 ± 4,9 ml.kg-1.min-1. La diferencia entre el V̇O2max medido y el VO2max estimado por la ecuación ACSM (9,40 ± 3,67) fue aproximadamente 7.5 veces mayor que la diferencia entre el VO2max medido y el VO2max estimado por la ecuación de Foster (1,25 ± 3,46). Los gráficos de Bland Altman muestran que solo la ecuación de ACSM tenía diferencias estadísticas del valor medido. Conclusiones: la ecuación ACSM no fue adecuada durante la prueba de ejercicio en cinta de correr en adultos jóvenes en un protocolo de rampa y la ecuación de Foster parece ser un estimador más preciso de VO2max para esta población, además mostró un sesgo a lo largo de la capacidad aeróbica, con tendencia a sobreestimar y subestimar VO2 máx. de personas menos y más en preparadas, respectivamente.
Palabras clave: consumo de oxígeno, ejercicio, esfuerzo físico, ergometría, pueba de ejercicio.
The maximal oxygen uptake (V̇O2max), by definition, is related to aerobic work capacity since integrates responses from three different systems: cardiovascular, respiratory, and muscular [1,2]. Clinically, the V̇O2max had been used as a health indicator, being inversely associated with all cause-mortality and also cardiovascular mortality [3].
Nowadays, the best way to measure V̇O2max is by a treadmill or a cycle ergometer lab test with equipments that analyze the exhaled air composition during a bout of exercise until volitional exhaustion [4]. However, such test require equipments and highly trained personal that raises the costs of an evaluation [1]. In this scene, became important the development of simpler methods.
A low-cost option is the V̇O2max estimated by equation, which do not require direct gas analysis of exhaled air during the test. Through the last few years, several equations looking for estimated V̇O2max during exercise stress test without the direct gas measure. Those equations could use as variables data from the test (treadmill speed, slope grade) and/or individual characteristics (age, gender, body mass index, physical activity level). However, even the most used equation shows limitations which compromise the extrapolation of the results to other populations. The main reason for this came from the wide range of ages of the studied populations, types of ergometers and exercise protocol [5].
The American College of Sports Medicine (ACSM) [6] and Foster [5] developed probably, two of the most used V̇O2max estimation equation used in clinical practice, therefore many other studies had tested the validity and accuracy of these V̇O2max estimation equations on a number of different population [7-9], but none of them have tested only young adults.
The objective of the present study is to analyze the agreement of the V̇O2max values estimated by ACSM and Foster equations with direct measure gas analyze in young Brazilian males.
Study design
This was an experimental study which involved a maximal incremental exercise test using a treadmill and simultaneous V̇O2max measuring by an ergospirometric device based on breath-by-breath gas exchange analyzing system.
Participants
Forty-one healthy young male volunteers aged from 19 to 26 years-old (21.4 ±2.2 years) took part in this study. All participants had a minimum of 3 aerobic training sessions per week during last six months. The study was in agreement with the good clinical practice requirements, ethical principles of Declaration of Helsinki and informed written consent was obtained from each participant before data collection. The research protocol was approved by Human Research Ethics Committee of Campos de Andrade University Center under number 28901414.3.0000.5218.
Pretesting procedures
All participants were screened by independent physician for their healthiness to participate in the study and none of them had any detected medical issue.
Anthropometric assessment
Anthropometric assessment was performed by Whole-body dual X-ray absorptiometry (DEXA) scans (Lunar iDXA; GE Medical Systems, Wisconsin, USA), which acquired signal at T0 and T1 to quantify total lean mass and fat mass [10]. All scans were performed in the morning with 8-10 h after the last meal [11]. An experienced technician performed and analyzed the scanned images.
Maximal oxygen uptake measurement
All volunteers performed a maximal incremental exercise test using a treadmill (SuperATL, Inbramed, Brazil). Participants exercised to exhaustion using a Ramp protocol without handrails support. The treadmill gradient was constant at 1% through the test. The speed of the treadmill was adjusted for each individual in order that the test should be completed within 8–12 min. The initial speed of the belt ranged from 8 to 10 kmh-1 and raised 0.1 kmh-1 every each 6 or 7 seconds. Both the initial speed and the incremental interval were determined based on the physical fitness of each participant. Heart rate was monitored continuously during the test (RS800, Polar, Finland). The V̇O2max was measured by an ergospirometric device based on breath-by-breath gas exchange analyzing system (Ultima Series, MedGraphics, USA). The following exercise test criteria were used for the achievement of V̇O2max: leveling off (plateau) of oxygen uptake with an increase of work rate; respiratory exchange ratio (VCO2/VO2) greater than 1.10; achievement of 90% of the age-adjusted estimate of maximal heart rate. They were asked to avoid any alcoholic and caffeinated beverage or ergogenic aids 48 hours prior to the test [12,13].
VO2max Estimation
To estimate VO2 through equations was used the variables obtained in the cardiopulmonary exercise test. The equation proposed by ACSM 5 as the sum of 3.5 + (0.2 * speed) + (0.9 * speed * grade), with speed in m.min-1 and grade expressed in decimal format (eg. 10% = 0:10). Foster equation [4] was (0.869 * VO2 ACSM) – 0.07, where VO2 ACSM corresponds to the value VO2 previous obtained through the ACSM equation.
Statistical analysis
All volunteers’ physical variables were expressed by average and standard deviation (SD) values. Kolmogorov-Smirnov test was performed to assess the normality assumption of the sample, Pearson (r) correlation coefficient was used for evaluation of the association among the measured and estimated values. The Student T test was used to compare the values of V̇O2max measured (mean) and V̇O2max estimated using equations. Bland and Altman analysis [14] was performed to verify the agreement between V̇O2max measured and estimated values, whereby the difference between the two methods is plotted on the vertical axis versus the gold standard values (V̇O2max measured values) in the horizontal axis. The Statistical analyses were performed using Statistical Package for Social Sciences (SPSS, version 21.0). The statistical significance level was set at p < 0.05.
Participant’s anthropometric characteristics and cardiorespiratory data during maximal exercise test are presented in Table 1.
Correlations between the measured V̇O2max and each equation (ACSM, Foster’s equation) were strong [15]. ACSM and Foster’s equations had the same value because both used peak speed and peak grade as variable (Table 2).
Table 1 - Anthropometric characteristic and cardiorespiratory data at maximal exercise test from 41 Brazilian young adults (mean, standard deviation)
Source: authors.
Table 2 – Pearson correlation coefficient among Measured V̇O2max and V̇O2max equations
* Correlation is significant at the p<0.01. Source: authors.
Comparing the values of measured V̇O2max (mean) and estimated V̇O2max using ACSM equation by the Student T test, it was observed a statistical difference (p<0,001). The estimated V̇O2max by the Foster’s equation was different from the measured V̇O2max. (p=0.025), as well, but the difference between the measured V̇O2max and the estimated V̇O2max by the ACSM equation (9.40±3.67) was approximately 7,5 times greater than the difference between the measured V̇O2max and estimated V̇O2max by the Foster’s equation (1.25±3.46), as presented in Table 3.
Table 3 – Mean difference in measured and estimated V̇O2max, SD and 95% interval confidence
SD – standard deviation; IC – interval confidence. Source authors.
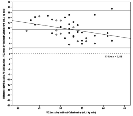
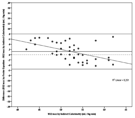
Analyzing the bias for each estimated equation by Bland Altman graph ( Figures 1 and 2) can be seen that only the ACSM equation had mean differences that were significantly different from the measured value. The residual R2 value for the ACSM equation was 0.116, while Foster’s equation shows residual R2 value of 0.251.
Figure 1. Bland and Altman plot of the measured V̇O2max values versus the difference between the measured and estimated V̇O2max by Foster Equation (n = 41). Horizontal bold lines indicate mean ± 1.96 SD. Source:authors

Figure 2. Bland and Altman plot of the measured V̇O2max values versus the difference between the measured and estimated V̇O2max by ACSM Equation (n = 41). Horizontal bold lines indicate mean ± 1.96 SD.Source: Authors
Considering the results obtained in this study, the Foster equation [5] showed better accuracy and bias than the ACSM [6] in estimating V̇O2max. The mean difference of 1.25 ml.kg-1.min-1 can be considered acceptable for an estimate equation, and analyzing the standard deviation of the difference, the value of 3.45 ml.kg-1.min-1 (approximately 1 MET) is only 6.6% of mean measured V̇O2max. In the other hand, ACSM equation mean difference of 9.40 ml.kg-1.min-1 was 7.5 times greater than the Foster equation and represents 17.9% of mean V̇O2max.
These findings were similar to other studies, but in the elderly and athletes, where the ACSM equation showed a tendency to overestimate the values of V̇O2max.
Koutlianos et al. [16], assessing an athletic population, demonstrated that ACSM’s running equation overestimates the V̇O2max values in 14.6% when comparing to the direct measured value [16]. Petersen and coworkers [17] also found that ACSM’s equations overestimated V̇O2max in 21.1% during a treadmill stress testing in older adult. Both authors suggested that the inaccuracy of the ACSM equation is probably due to its proposed use for estimation during steady state exercise and developed using highly fit male participants.
Analyzing Bland-Altman plot (Figures 1 and 2) was observed, in both equations, a tendency to over- and underestimation of V̇O2max compared to measured values at the low and high ends of the fitness spectrum, respectively. This systematic bias has previously been reported, whereby others V̇O2max estimation equations overestimates the V̇O2max of the least fit people and underestimates values for the most fit [18-20].
Other studies have showed physical activity level, gender, age, BMI, treadmill speed, treadmill grade as independent predictors of V̇O2max [17,21]. However, it is observed that most of the equations developed through the years, prioritized the use of few variables in order to make them more functional and practical, even if the accuracy and correlation was reduced. Petersen et al observed a 0.20 increase in R2 when adding physical activity level, gender, age and BMI to a model that originally included only treadmill grade and speed [17].
A practical implication is that coaches and young physically active adults should use the Foster equation instead of the ACMS equation. This is recommended because, based on the normative values of maximal aerobic power from ACSM’s Guidelines for Exercising Test and Prescription, the mean measured V̇O2max of the participants was 52.3 ml.kg-1.min-1 classifying them between percentiles 80 and 85, described, therefore, as excellent. In the meantime, the same volunteers when assessed by an estimating equation as ACMS equation, the mean difference of 9.40 ml.kg-1.min-1 ensures a superior classification, as the estimated values are above percentile 99. Those discrepancies don’t occur with Foster’s equation since the smaller difference from the directly measured value did not affect the maximal aerobic power classification.
As a limitation of this study, although it was observed the same phenomenon described by Petersen and coworkers [17], the magnitude of these events cannot be precisely stratified, mainly because the characteristics of the sample, which was composed basically by young physically active adults with a narrow age range which would rank them above the 85th percentile according to the ACSM. For the same reason, extrapolation of current results is not possible for other populations, such as women, sedentary individuals or people with coronary heart disease or heart failure.
Conclusion
The ACSM equation, although the most widely used prediction equation in clinical settings, is not appropriate for during treadmill stress testing young adults in a ramp protocol. Foster equation is more accurate estimator of V̇O2max for this population, besides showed a bias along the aerobic capacity, trending to overestimates and underestimates V̇O2max of least and most fit people, respectively.