Evolución de la tensión arterial durante la gestación, en gestantes sanas inscritas en el programa de control prenatal de una entidad del primer nivel de atención en Manizales, Colombia, 2010:2013
Juan Pablo Camacho Calderón©, José Jaime Castaño Castrillón©©, M.Sc., Juan Sebastián Chaves Cerón©, Julián Correa Rincón©, José Fernando Giraldo©©©, Mag, Juan David Lozada Castro©
© Estudiante 10° Semestre Programa de Medicina, Universidad de Manizales, Manizales, Caldas, Colombia.
©© Profesor Titular, Director Centro de Investigaciones, Facultad de Ciencias de la Salud, Universidad de Manizales, Carrera 9° 19-03, Tel. 8879688, Manizales, Caldas, Colombia. Correo: jcast@umanizales.edu.co.
©©© Médico, Magister en Salud Pública, Coordinador de Semiología, Universidad de Manizales, Manizales, Caldas, Colombia. Correo:
Archivos de Medicina (Manizales), Volumen 14 N° 2, Julio-Diciembre 2014, ISSN versión impresa 1657-320X, ISSN versión en línea 2339-3874. Camacho Calderón, J.P.; Castaño Castrillón, J.J.; Chaves Cerón, J.S.; Correa Rincón, J.; Giraldo, J.F.; Lozada Castro, J.D
Recibido para publicación: 25-09-2014 - Versión corregida: 15-10-2014 - Aprobado para publicación: 04-11-2014
Camacho-Calderón JP, Castaño-Castrillón JJ, Chaves-Cerón JS, Correa-Rincón J, Giraldo JF, Lozada-Castro JD. Evolución de la tensión arterial durante la gestación, en gestantes sanas inscritas en el programa de control prenatal de una entidad del primer nivel de atención en Manizales, Colombia, 2010:2013. Arch Med (Manizales) 2014; 14(2):191-02.
Resumen
Objetivo: Describir los cambios de la tensión arterial de mujeres embarazadas con relación a la edad gestacional y al índice de masa corporal, en una muestra de gestantes controladas en ASSBASALUD ESE (Manizales, Caldas, Colombia) entre los años 2010-2013. Materiales y métodos: Se consultaron historias clínicas de 1923 gestantes sanas. Se efectuaron análisis, por semana, mes y trimestre. Resultados: La relación de presión arterial promedio con cada mes mostró un descenso en las tres presiones, aunque más marcado en la presión arterial diastólica y media, hasta el quinto mes de gestación hasta 103 para PAS, 65 para PAD, y 77 mmHg para PAM en promedio, para iniciar su ascenso hasta el final de la gestacion obteniendo las cifras mas elevadas en el decimo mes con valores de 106, 67,5 y 80,12 mmHg respectivamente en promedio. Trimestralmente no se encontró una diferencia significativa entre el primero y el segundo trimestre para PAS, pero sí para PAD y PAM, y para los tres casos un aumento marcado en el último trimestre. Por semana se efectuaron estimaciones curvilíneas cuadráticas y cúbicas para las tres presiones, resultando todas significativas con p=0,000, tanto para las regresiones globales, como para el término independiente y los coeficientes. Conclusión: Se encuentra que la presión arterial tiene el mismo comportamiento de la población global, ambas presiones tienen un comportamiento en curva Sigma, pero lo hacen con un promedio inferior a los estudios realizados en Europa, no así en américa-latina donde las cifras también son bajas.
Palabras clave: embarazo, presión Arterial, indice de Masa Corporal
The evolution of the blood pressure in relation to the gestational age and the body mass index in pregnant women enrolled in the program of prenatal control in an entity of the first level of attention in Manizales, Colombia, 2010:2013
Summary
Objective: Describe the changes in the blood pressure of pregnant woman in relation to the gestational age and to the body mass index in a sample of pregnant women controlled in ASSBASALUD ESE (Manizales, Caldas, Colombia) between the years 2010-2013. Materials and methods: The medical records of 1,923 healthy pregnant woman have been consulted. Analysis has been carried out weekly, monthly, and quarterly. Results: The relation of mean blood pressure with every month showed a decline in both pressures until the fifth gestational month up to 102mmHg for PAS and 62mmHg for PAD in average to begin it’s rise until the end of the gestation obtaining the highest numbers in the tenth month with values of 106 mmHg and 67,5 mmHg for PAS and PAD in average respectively. Quarterly, there was no significant difference between the first and the second for the systolic pressure but not like that for the diastolic pressure and with a strong rise in the last trimester reaching 65mmHg average. When it was compared by weeks, curves where obtained with a lower peak in the 20th week of pregnancy with blood pressure in 103 mmHg and 65 mmHg in average. Conclusion: It was found that the blood pressure has the same behavior as the global population; both pressures have a Sigma curve behavior, but they do it with an inferior average compared to the studies done in Europe, not like those in Latin America where the numbers are also low.
Key words: Pregnancy, blood pressure, body mass index.
Durante la gestación humana ocurren varios cambios hemodinámicos, bioquímicos y hematológicos, estas variantes fisiológicas ocurren inicialmente alrededor de la quinta y octava semana de embarazo para normalizarse gradualmente hasta el posparto, el principal cambio y al que más atención se debe prestar es al de la presión arterial, ya que un adecuado control de esta permite que el embarazo avance normalmente y sin complicaciones1-3, otro cambio fisiológico importante es el aumento en la frecuencia cardíaca, lo cual se ha considerado como una adaptación hemodinámica del embarazo y es consecuencia del aumento de la volemia y tendencia a la disminución de la presión arterial por disminución de la resistencia periférica4. Igualmente, al inicio el embarazo es considerado una fase anabólica, caracterizada por un aumento en la producción hepática de triglicéridos (TG), lo cual resulta en un incremento en los depósitos grasos de los adipocitos maternos; en contraste el último trimestre de embarazo es referido como una etapa catabólica, donde se aumenta la liberación de los ácidos grasos desde los adipocitos debido al estímulo de la lipasa sensitiva a hormonas placentarias5.
Por esta razón la toma de la presión arterial juega un papel importante en el tamizaje y seguimiento de toda mujer embarazada, ya que se puede presentar el síndrome hipertensivo del embarazo, que según Bertoglia6 et al, se clasifica como hipertensión inducida por el embarazo (hipertensión gestacional, preeclampsia y eclampsia) e hipertensión crónica (hipertensión esencial e hipertensión secundaria), estos desórdenes hipertensivos complican hasta un 7% de todos los embarazos y se asocian con un aumento de la morbimortalidad tanto materna como perinatal7,8.
Los cambios más importantes son principalmente hemodinámicos y se acompañan de variaciones en la concentración de neurohormonas presoras y metabolitos vasoactivos que junto a la insulina y la leptina estimulan la actividad simpática y a través de este mecanismo modulan la presión arterial4.
Estudios realizados en Suecia y Estados unidos por Thompson2 et al en el año 2009, demostraron que el aumento del índice de masa corporal (IMC) materno es directamente proporcional a la presión arterial durante la gestación, para los niveles más altos de índice de masa corporal la presión arterial sistólica media disminuyó inicialmente al aumentar la edad gestacional, seguido por un aumento al final del embarazo, la presión arterial diastólica media aumento más tarde en el embarazo, pero se atenuó con índices de masa corporal elevados, la presión arterial sistólica entre mujeres con un índice de masa corporal entre 25 y 30kg/m2 se mantuvo dentro de los límites normales del embarazo, estos factores generan en el aparato cardiovascular, una reducción del volumen plasmático y baja perfusión, en casi todos los órganos, dado el intenso espasmo vascular por incremento de la sensibilidad de la vasculatura a cualquier agente vasopresor9.
Es necesario también tener en cuenta a la hora de hablar de presión arterial en gestantes, su raza o etnia ya que varios estudios han encontrado diversos resultados dependiendo de la procedencia de las mujeres, por ejemplo un estudio realizado por Kovanci10 et al, encontró que las mujeres gestantes mexicanas tenían promedios de tensión arterial menores que las mujeres europeas, otra publicación relata que mujeres embarazadas de raza blanca tenían la presión arterial en promedio más alta que mujeres con ascendencia de indios del oeste, al igual que las mujeres nigerianas tenían la presión diastólica más alta que las mujeres blancas11.
La literatura médica mundial posee gran cantidad de artículos relacionados con la presión arterial de mujeres gestantes, pero en su mayoría están enfocados en los trastornos hipertensivos, dejando atrás los cambios fisiológicos. Con esta investigación se busca nutrir la literatura con información acerca del comportamiento de la presión arterial en gestantes sanas de Manizales Colombia y encontrar su correlación con la edad gestacional y el índice de masa corporal para así lograr tener bases más sólidas y fundamentadas a la hora de hablar de presión arterial en la embarazada bajo un contexto general y no enfocado únicamente en la patología.
Estudio de corte transversal analítico, realizado en una población de 1923 mujeres embarazadas sin ninguna patología de base como hipertensión arterial primaria o secundaria, que hayan tenido como mínimo una visita prenatal entre los años 2010 y 2013 en clínicas de ASSBASALUD ESE, entidad que tiene a su cargo la atención médica de 1° nivel en la ciudad de Manizales (Caldas, Colombia). Esta muestra dio lugar a una base de datos de 9114 registros referentes a presiones arteriales, pesos e índices de masa corporal en diferentes edades gestacionales.
Se extractaron de las historias clínicas de las gestantes las siguientes variables: seguridad social, edad, talla, embarazo deseado o no, escolaridad, alcoholismo, tabaquismo, número de gestas, y para cada control prenatal presión arterial sistólica (PAS), presión arterial diastólica (PAD), edad gestacional y peso. Se calculó para cada caso la presión arterial media (PAM), mediante la siguiente fórmula:
PAM=(2*PAD+PAS)/3
La prueba piloto se realizó en agosto del 2013 en el centro de salud ASSBASALUD “San Cayetano” con visita de lunes a viernes. Después de esta se realizaron cambios al instrumento inicialmente propuesto y la recolección definitiva de los datos se dio entre Septiembre de 2013 y Abril de 2014 en AASBASALUD ESE.
En relación al análisis estadístico las variables medidas en escala nominal se describieron mediante tablas de frecuencia y límites de confianza al 95%, y las variables medidas en escala razón mediante promedios, desviaciones estándar y límites de confianza al 95%. Se efectuaron además los siguientes análisis de inferencia estadística: Análisis de varianza de PAS, PAD y PAM en función de meses y trimestres de gestación, modelos de estimación curvilínea para PAS, PAD y PAM, en función de semanas de gestación, modelos bivariados para PAS, PAD y PAM en función de tiempo de gestación e índice de masa corporal, y un análisis de modelos de estimación curvilínea para PAS, PAD y PAM en función de semanas de gestación para rangos del índice de masa corporal. Todos los análisis de inferencia estadística se efectuaron con una significancia α=0,05.
Las bases de datos se elaboraron empleando el programa Excel 2010 (Microsoft corporation) y se analizaron empleando el programa IBM SPSS 21 (IBM Corp.), y el Epi Info 3,5,1 para windows (Centers for desease control and prevention, CDC).
La investigación fue aprobada por el comité de Ética de ASSBASALUD ESE. Se respetaron todas las normas éticas de ley vigentes en Colombia para proyectos de investigación en Ciencias de la Salud.
Se analizaron un total de 1923 pacientes, con un promedio de edad de 24,64±6,01 años y promedio de una gestación en su vida, de las cuales el 86% (lc95%:84,3%-87,5%) pertenecen al régimen subsidiado de seguridad social en salud y con mayor proporción, 48,9% (lc5%:46,6%-51,1%) sin gestaciones anteriores; 66% tenían como escolaridad máxima la secundaria, lo que indica que gran parte del estudio se realizó en pacientes de estrato bajo. Poco más de un tercio de las pacientes (36,8%:lc95%:34,6%-39%) cursaban con un embarazo deseado, igualmente se encontró que consumían alcohol el 1,6% (lc95%:1,1%-2,2%) y cigarrillo el 8,8% (lc95%:7,6%-10,2%) con un promedio de 6,4±10,4 al día en el momento del control prenatal.
Para analizar la dependencia de los valores de PAS y PAD con edad gestacional (EG) se efectuaron varios tipos de análisis.
Se agruparon los datos de PAS, PAD y PAM por meses, comenzando en el 2°, ya que el 1° mes tenía muy pocos datos. Se consideró que un mes tiene una duración de 4 semanas, y así se continuó hasta el 10° mes.
Se aplicó un procedimiento de análisis de varianza de PAS y PAD teniendo como factor mes. La Tabla 1 resume los resultados. Esta Tabla muestra que el modelo global es significativo para las tres presiones (p=0,000), e igualmente son significativas la intersección (p=0,000) y el coeficiente de mes (p=0,000).
En conjunto con el análisis de varianza se aplicó la prueba de discriminación de promedios de Duncan, cuyos resultados se muestran en la Tabla 1.
Tabla 1. Resultados de la aplicación de la prueba de discriminación de promedios Duncan a la relación de PAS, PAD y PAM con relación a mes de gestación. |
|||||
Presión Arterial Sistólica |
|||||
Mes |
N |
Subconjunto |
|||
1 |
2 |
3 |
4 |
||
5 |
1012 |
102,7 |
|
|
|
2 |
316 |
102,7 |
|
|
|
4 |
942 |
103,1 |
103,1 |
|
|
3 |
849 |
103,3 |
103,3 |
|
|
8 |
1075 |
103,6 |
103,6 |
103,6 |
|
6 |
1038 |
103,7 |
103,7 |
103,7 |
|
7 |
1076 |
|
103,8 |
103,8 |
|
9 |
1202 |
|
|
104,4 |
|
10 |
1115 |
|
|
|
105,6 |
Presión Arterial Diastólica |
|||||
Mes |
N |
Subconjunto |
|||
1 |
2 |
3 |
4 |
||
5 |
1012 |
64,64 |
|
|
|
4 |
942 |
64,94 |
64,94 |
|
|
7 |
1076 |
65,03 |
65,03 |
|
|
8 |
1075 |
65,09 |
65,09 |
|
|
6 |
1038 |
65,15 |
65,15 |
|
|
2 |
316 |
|
65,53 |
65,53 |
|
3 |
849 |
|
65,74 |
65,74 |
|
9 |
1202 |
|
|
66,19 |
|
10 |
1115 |
|
|
|
67,5 |
|
Presión Arterial Media |
||||
|
|
Subconjunto |
|||
Mes |
N |
1 |
2 |
3 |
4 |
5 |
1012 |
77.32 |
|
|
|
4 |
942 |
77.66 |
77.66 |
|
|
2 |
316 |
77.92 |
77.92 |
|
|
8 |
1075 |
77.93 |
77.93 |
|
|
7 |
1076 |
77.94 |
77.94 |
|
|
6 |
1038 |
77.99 |
77.99 |
|
|
3 |
849 |
|
78.25 |
78.25 |
|
9 |
1202 |
|
|
78.89 |
|
10 |
1542 |
|
|
|
80.12 |

Figura 1. Relación de presión arterial sistólica y diastólica con mes de gestación en gestantes atendidas en ASSBASALUD ESE entre los años años 2010-2013.

Figura 2. Relación entre presión arterial media y meses de edad gestacional en población de gestantes atendida en ASSBASALUD ESE (Manizales, Colombia).
Los resultados para PAS, PAD y PAM están resumidos en las Figuras 1 y 2.
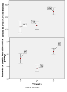
Se procedió, seguidamente a un análisis con relación a trimestre, con las definiciones de trimestre mostradas a continuación: 1° trimestre hasta la semana 13, 2° trimestre semana 13-26, 3° trimestre después de la semana 26.
También se efectúo un análisis de varianza con relación a trimestre para PAS, PAD y PAM, análogamente al caso anterior ambos modelos resultaron significativos, e igualmente la intersección y el trimestre todos con p=0,000.
Igualmente se aplicó la prueba de discriminación de promedios de Duncan, para encontrar las diferencias de los promedios de PAS, PAD y PAM entre trimestres. La Tabla 2, resume los resultados.
Tabla 2. Resultados de la aplicación de la prueba de discriminación de promedios de Duncan a la los promedios de PAS, PAD y PAM con relación a trimestre de gestación. en población de gestantes atendidas en ASSBASALUD ESE. |
||||
Presión Arterial Sistólica |
||||
Trimestre |
N |
Subconjunto |
|
|
1 |
2 |
3 |
||
1° |
1439 |
103,19 |
|
|
2° |
3252 |
103,29 |
|
|
3° |
4361 |
|
104,45 |
|
Presión Arterial Diastólica |
||||
2° |
3252 |
64,85 |
|
|
1° |
1439 |
|
65,64 |
|
3° |
4361 |
|
|
66,22 |
Presión Arterial Promedio |
||||
2° |
3252 |
77,67 |
|
|
1° |
1439 |
|
78,16 |
|
3° |
4361 |
|
|
78,96 |
La Figura 3 muestra los resultados para PAS y PAD.

Figura 3. Relación de presión arterial sistólica y diastólica con trimestre de gestación en gestantes atendidas en ASSBASALUD ESE entre los años 2010-2013.
Se efectúo un tercer análisis con relación a semana de gestación, dándole a esta semana un valor numérico. El propósito de esto fue ensayar varios modelos de ajuste de PAS y PAD con relación a semana de gestación. La Figuras 4 y 5 resumen los resultados.
Para todos los modelos mostrados, o sea los de PAS, PAD y PAM, las regresiones tienen una significancia p=0,000. También todos los coeficientes de los modelos cúbicos y cuadráticos tienen una significancia p=0,000.

Figura 4. Variación de la presión arterial promedio con relación a semana de gestación en población de gestantes atendidas en ASSBASALUD ESE.

Figura 5. Variación de las presiones arteriales sistólica y diastólica, con relación a semana, en población de gestantes atendidas en ASSBASALUD ESE.
Se intentó representar las presiones arteriales sistólicas y diastólicas, mediante un modelo lineal en dos variables, edad gestacional e índices de masa corporal.
Para presión arterial sistólica el modelo resultó con un R2 de 0,042, aún bajo pero bastante mayor que con los modelos de una sola variable. La regresión globalmente resultó significativa con p=0,000, el término independiente, y el coeficiente de IMC también significativos con p=0,000. En cambio el coeficiente de la edad gestacional resultó con un p=0,071, no significativo dentro del nivel de confianza adoptado en este estudio.
Referente a la presión arterial diastólica. El modelo resultó con un R2 de 0,03, mayor que los modelos de una sola variable. Globalmente el modelo resultó significativo con p=0.000, el término independiente, al igual que el coeficiente de imc también con p=0,000. El coeficiente de EG resultó significativo con p=0,014.
En relación con presión arterial media el modelo resulto con un R2 de 0,047, el modelo, la constante e IMC resultaron con una significancia p=0,000, el coeficine de EG resultó también significativo con p=0,008.
La Tabla 3 muestra los parámetros de los modelos.
.
Tabla 3. Modelo lineal de presión arterial sistólica, diastólica, y promedio en función de edad gestacional e índice de masa corporal para gestantes atendidas en ASSBASALUD ESE durante los años 2010-2013. |
||||||
Presión arterial sistólica |
||||||
Modelo |
Coeficientes no estandarizados |
Coeficientes estandarizados |
t |
Sig. |
||
B |
Error estándar |
Beta |
||||
1 |
(Constante) |
93,578 |
,527 |
|
177,606 |
,000 |
EG |
,019 |
,010 |
,019 |
1,786 |
,074 |
|
imc |
,384 |
,021 |
,197 |
gestantes18,141 |
,000 |
|
Presión arterial diastólica |
||||||
Modelo |
Coeficientes no estandarizados |
Coeficientes estandarizados |
t |
Sig. |
||
B |
Error estándar |
Beta |
||||
1 |
(Constante) |
58,636 |
,428 |
|
136,882 |
,000 |
EG |
,021 |
,008 |
,027 |
2,470 |
,014 |
|
imc |
,254 |
,017 |
,162 |
14,762 |
,000 |
|
Presión Arterial Promedio |
||||||
Modelo |
|
Coeficientes no estandarizados |
Coeficientes estandarizados |
t |
Sig. |
|
|
|
B |
Error estándar |
Beta |
|
|
1 |
(Constante) |
70,228 |
,392 |
|
179,064 |
,000 |
|
EG |
,020 |
,008 |
,029 |
2,649 |
,008 |
|
imc |
,299 |
,016 |
,206 |
19,004 |
,000 |
Se efectúo un análisis de regresión curvilínea por semana para PAS y PAD por cada rango de IMC. Se dividió en rangos de 5 unidades de la siguiente forma: 15-20, 20-25, 25-30, 30-35, 35-40.
La Figura 6 muestra una comparación del ajuste del ajuste óptimo para PAS con IMC 20-25 y 35-40. Se observan valores de PAS más altos para imc=35-40 (promedio 109 mmHg) que para imc=20-25 (Promedio=103 mmHg). También se observa un aplanamiento de la curva de PAS, para imc=35-40.
La Figura 7 (8) muestra las figuras análogas para PAD (PAM), en las cuales se pueden hacer las mismas observaciones.

Figura 6. Comparación entre el ajuste para presión arterial promedio con imc=20-25 y 35-40.

Figura 7. Comparación entre el ajuste óptimo para PAD, en imc=20-25 y 35-40, en gestantes atendidas en ASSBASALUD años 2010-2013.

Figura 8. Comparación del ajuste para PAS con rangos de imc de 20-25 y 35-40 en población de gestantes atendidas en ASSBASALUD entre los años 2010-2013.
La hipertensión se define como presión arterial mayor de 140/90 mmHg ó un incremento de 30 mmHg de presión sistólica o 15 mmHg diastólica12, y es una de los principales cambios y complicaciones del embarazo. La presión arterial es influenciada por infinidad de mediadores químicos en el organismo como por ejemplo el estradiol, el estriol y la progesterona que son producidas en la placenta, incluyendo también el calcio y la paratohormona.13 El estradiol está implicado en la retención de agua y sodio que resulta en una expansión volumen de plasma durante el embarazo normal y con ello podría conllevar a complicaciones hipertensivas14, que producen la muerte de una mujer embarazada cada tres minutos a nivel mundial15, por eso la gran importancia de un control prenatal que es fundamental para la detección de cualquier anomalía en la gestación16.
En esta investigación se han estimado los valores de referencia que caracterizan la distribución de presión arterial durante el embarazo en la población estudiada en relación con el indice de masa coporal a lo largo de la gestacion, el cual se asocia con un aumento de la presión arterial, como lo menciona Chirino17 et al. y depende de los niveles de leptina, insulina y norepinefrina.18 Estos rangos de referencia pueden servir como un recurso para la evaluación de la presión arterial durante el embarazo de la poblacion estudiada. Considerando se puede permitir el desarrollo de un instrumento de evaluación obstétrica más sensible y específica para las condiciones relacionadas con ambas variables como son la TA y el IMC, ya que están altamente relacionadas menciona Bastidas19 et al.
Los resultados obtenidos en el presente estudio se pueden resumir diciendo que las presiones arteriales sistólica, diastólica y promedio tuvieron un comportamiento muy similar en el primer y segundo trimestre ya que las diferencias observadas no fueron estadísticamente significativas en el caso de PAS, pero sí en el caso de PAD y PAM, en los cuales en el 2° trimestre se registró descenso estadísticamente significativo, en el tercer trimestre, en cambio se presentaron aumentos significativos en los valores de PAS, PAD y PAM. En síntesis se puede decir que el comportamiento observado para PAS fue un valor que permanece constante hasta el inicio del 3° trimestre. Momento en el cual comienza a aumentar, y continúa en curva ascendente. Los comportamiento de PAD y PAM son parecidos y descienden hasta comienzos del 3° trimestre cuando comienzan a aumentar en forma de curva ascendente hacia el sexto mes de embarazo, como se encuentra en el estudio realizado por Hermida20 et al.
Thompson2 et al en su estudio publicado en el año 2009, realizado con una muestra de 1733 mujeres suecas obtuvo curvas parecidas a los mostradas en el presente esrtudio tanto para PAS como para PAD. La gran diferencia con el estudio mencionado es que las presiones promedio son significativamente más altas, oscilando entre 112 mmHg y 116 mmHg la presión sistólica y 70 mmHg y 77 mmHg la diastólica comparada con los 102 mmHg, 105 mmHg y 64 mmHg, 67 mmHg respectivamente del presente estudio. Thompson et al no estudiaron la PAM. Referente a la PAM enh la presente investigación sus resultados tienden a parecerse más a los de PAD, con un efecto de suavización de las variaciones.
Thompson et al también estudiaron la dependencia de PAS Y PAD con el IMC, en general sus resultados se pueden resumir diciendo que a medida que aumenta el IMC las curvas que representan el valor de PAS ( y el de PAD) con la EG suben en valor absoluto, y las diferencias entre edades gestacionales se van suavizando, o sea la diferencia entre la PAS (y la PAD) inicial y la final disminuyen. En la presente investigación también se obtiene el aumento de la presión a medida que aumente el IMC, y también la suavización de las curvas a medida que aumenta este parámetro, como se observa en las figuras 6, 7 y 8. Pero al contrario de lo obtenido por Thompson et al, todos los rangos de presiones aumentan a medida que aumenta el IMC.
Mcdonald3 en el Reino Unido observaron una gran muestra de 13006 mujeres cuyas presiones igualmente terminaron por ascender en el tercer trimestre, con valores más altos que las de este estudio y muy semejantes a los reportados por Thompson2 et al.
Cabe mencionar otro estudio europeo, realizado en Holanda por Gaillard7 et al, en el que la PAS tuvo el mismo ascenso progresivo, yendo desde 114 mmHg hasta 117 mmHg, no así la PAD, la cual inició y terminó en 68 mmHg con un leve descenso en el segundo trimestre. Las formas de las curvas para PAS y PAD son parecidas a las obtenidas en el presente estudio, con la salvedad de que para la PAD se presenta la disminución a medida que aumenta la EG, pero este aumento lleva el valor de PAD hasta su valor inicial.
Igualmente en un estudio efectuado en el año 2010 realizado por Kovanci y Gregg10 en el que se graficó la presión arterial de 265 mujeres mexicanas se observó que esta fué ascendiendo gradualmente desde la semana 10 de embarazo hasta el fin del mismo, la similitud con el estudio de Manizales aparte del ascenso gradual se basa en los valores de presión arterial propiamente dichos, ya que los promedios son más cercanos a los encontrados en esta población oscilando entre 101 mmHg y 107 mmHg (PAS) Y 60 mmHg y 65 mmHg (PAD).
La relación proporcional entre la tensión arterial y el IMC se conoce tanto en hombres y en mujeres21, pero a ciencia cierta no se tiene conocimiento sobre el vinculo fisiopatológico de este fenómeno, a pesar de los estudios realizados buscando la causa exacta. Aparte del estudio de Thompson et al, y de la presente investigación, no se conoce de otros estudios que hayan evaluado la asociación entre la tensión arterial y el IMC durante toda la gestación. La mayoría de las especulaciones se desarrollan a partir de la función autonómica, al ser impulsado por la hiperleptinemia e hiperinsulinemia18,22, que se encuentran en pacientes obesos y pacientes con trastornos hipertensivos, por lo cual es necesario conocer e investigar más acerca de las enfermedades relacionadas con los trastornos tanto hipertensivos como metabólicos.
Con lo anteriormente expuesto se puede concluir que la presión arterial de las mujeres embarazadas sanas de Manizales tiene un comportamiento semejante al que se reporta en la literatura mundial, de origen mayoritariamente europeo, el cual se caracteriza por un ascenso significativo hacia el tercer trimestre de embarazo, encontrando la principal diferencia en los promedios de los valores de presión arterial que fueron más altos en la población europea; no así en el estudio de población mexicana que aunque fué realizado con una muestra relativamente pequeña el comportamiento y los promedios de las presiones fueron bastante similares a los de Manizales, dando así una idea de que las mujeres latinas si bien muestran un comportamiento de presión semejante al de las europeas ascendiendo hacia el final del embarazo, lo hacen con un promedio más bajo.
La principal limitación fue que un buen número de historias clínicas no contaban con datos confiables o estos estaban redactados de forma incompleta en el software de ASSBASALUD ESE, el cual a su vez era tedioso al manejar, lo que llevó a descartarlas y esto incidió en que el número final de la muestra fuera significativamente menor al estipulado en el proyecto de investigación.
Conflictos de interés: los autores declaran no tener ningún conflicto de interés en relación con el tema tratado en el presente estudio.
Fuentes de financiación: Universidad de Manizales.
1. Rodríguez-Dennen F, Martínez Ocaña J, KawaKarasik S, Villanueva Egan L, Reyes Paredes N, Flisser A, et al. Comparison of hemodynamic, biochemical and hematological parameters of healthy pregnant women in the third trimester of pregnancy and the active labor phase. BMC Pregnancy Childbirth 2011; 11:11-33.
2. Thompson M, Williams M, Miller R. Modelling the association of blood pressure during pregnancy with gestational age and body mass index. Paediatr Perinat Epidemiol 2009; 23:254-263.
3. Macdonald-Wallis C, Lawlor, Debbie A, Fraser A, May M, Nelson Scott M, et al. Blood Pressure Change in Normotensive, Gestational Hypertensive, Preeclamptic, and Essential Hypertensive Pregnancies. Hypertension 2012; 59:1241-1248.
4. Salas Paredes AJ, Velázquez Maldonado E, Villarroel V, Arata Bellabarba G. Relación entre la concentración de leptina, insulina, norepinefrina y presión arterial en embarazadas sanas. Rev Venez Endocrinol Metab 2004; 2:10-14.
5. Landázuri P, Restrepo B, Trejos J. Perfil lipídicopor trimestres de gestaciones en una población de mujeres Colombianas. Rev Colomb Obstet Ginecol 2006; 57:256-263.
6. Bertoglia P, Rivas A, Navarrete P, Castro M L, Acurio J, Escudero C . Resultados clínicos y perinatales de los embarazos con hipertensión arterial en un hospital de referencia de la VIII región de Chile. Rev Chil Obstet Ginecol 2010; 75:162-171.
7. Gaillard R, Bakker R, Willemsen P, Hofman A, Steegers E, Jaddoe WV. Blood pressure tracking during pregnancy and the risk of gestational hypertensive disorders: The Generation R Study. Eur Heart J 2011; 32:3088-3097.
8. Romero-Gutiérrez G, González B. Persistencia de hipertensión en mujeres con preeclampsia. Ginecol Obstet Mex 2011; 79:601-606.
9. LilDommar, Suarez C, Rojas G, Marcano M, Nuccio J. Hipertension Arterial Inducida por embarazo: Factores de riesgo asociados. Saber 2009; 21:34-39.
10. Kovanci E, Gregg A. Blood Pressure Regulation Across Pregnancy: Evidence of a Paradigm Shift in Gene Expression. Hypertens Pregnancy 2010; 29(2):236-247.
11. Bouthoorn Selma H, Gaillard R, Steegers E, Hofman A, Jaddoe V, van Lenthe F, et al. Ethnic Differences in Blood Pressure and Hypertensive Complications During Pregnancy The Generation R Study. Hypertension 2012; 60:198-205.
12. Haihua G, Song Z, Ye Q, Zhichang L, Yanjun Z, QiW. A study of maternal hemodynamic change during healthy pregnancy and women with gestation hypertension. Biomed Mater Eng 2006; 16(1):77-82.
13. Nieto A, Herrera J, Villar J, Matorras R, de la Manzanara C, Peiró E, et al. Association between calcium intake, parathormone levels and blood pressure during pregnancy. Colomb Med 2009; 40(2):185-193.
14. Risberg A, Olsson K, Lyrenäs S, Sjöquist M. Plasma vasopressin, oxytocin, estradiol, and progesterone related to water and sodium excretion in normal pregnancy and gestational hypertension. Acta Obstet Gyneco Scand 2009; 88(6):639-646.
15. Emilija JS, Jasovic V. Demographic characteristics in preeclamptic women in Macedonia. Rev Méd Chile 2011; 139:748-754.
16. Moreno Santillán A, Mogghadam H, Calderón J, de León Ponce M, Hernández M, Briones Garduño J, et al. Control prenatal en el medio rural. Rev Facult Med UNAM 2008; 51(5):188-192.
17. Chirino E, Ponciano O, Noa O, Báez Y, Hernández M, Junco I. Intervención profiláctica no farmacológica en gestantes de riesgo de hipertensión arterial en un hogar materno. Rev Cuba Obstet Ginecol 2012; 38(1):21-27.
18. Bajo Arenas JM, Melchor Marcos JC, Mercé LT. Fundamentos de obstetricia (SEGO). Madrid: Gráficas Marte-Grupo; 2007.
19. Bastidas Vivas R, Castaño Castrillón J, Enríquez Cadena D, Giraldo J, González Rada J, Varón Arana Y, et al. Relación entre hipertensión arterial y obesidad en pacientes hipertensos atendidos en ASSBASALUD E.S.E, Manizales (Colombia) 2010. Arch Med (Manizales) 2011; 11:150-158.
20. Hermida RC, Ayala DE, Mojón A, Fernández JR, Silva I, Ucieda R, et al. Blood pressure excess for the early identification of gestational hypertension and preeclampsia. Hypertension 1998; 31:83-89.
21. Yang G, Xiang Y-B, Zheng W, Xu WH, Zhang X, Li HL, et al. Body weight and weight change inrelation to blood pressure in normotensive men. J Hum Hypertens 2007; 21:45-52.
22. Esler M, Straznicky N, Eikelis N, Masuo K, Lambert G, Lanbert E. Mechanisms of sympathetic activation in obesity-related hypertension. Hypertension 2006; 48:787-796.
![]()