Roberto Rebolledo-Cobos1, Luz Adriana Sarmiento2, Vanessa Jurado-Castro3, Ana Caro-Freile4, Yoly Yepes-Charris5, Cleiton Silva Correa6.
1. Fisioterapeuta. Magister en Actividad Física y Salud. Universidad Metropolitana de Barranquilla, Colombia. Correspondencia: Cl. 76 #42-78, Barranquilla-Atlántico (Colombia). Celular: (+57) 3043561689 Correo E.: rrebolledo@unimetro.edu.co
2. Bacterióloga. Doctora en Tecnología de Alimentos. Fundación Hospital Universitario Metropolitano, Colombia. Correo E.: lusarru@hotmail.com
3. Fisioterapeuta. Magister en Neurorehabilitación. Universidad Metropolitana de Barranquilla, Colombia. Correo E.: vjurado@unimetro.edu.co
4. Fisioterapeuta. Magister en Epidemiologia. Universidad Metropolitana de Barranquilla, Colombia. Correo E.: ana.caro@unimetro.edu.co
5. Fisioterapeuta. Magister en Neurorehabilitación. Universidad Metropolitana de Barranquilla, Colombia. Correo E.: yyepes@unimetro.edu.co
6. Educador Físico. Doctor en Ciencias del Movimiento. Instituto Federal Farroupilha, Santo Augusto, Brasil. Correo E.: cleitonesef@yahoo.com.br
Archivos de Medicina (Manizales), Volumen 17 N° 2, Julio-Diciembre 2017, ISSN versión impresa 1657-320X, ISSN versión en línea 2339-3874. Rebolledo Cobos R.; Sarmiento L.A.; Jurado Castro V.; Caro Freile A.; Yepes Charris Y.; Silva Correa C.
Recibido para publicación: 01-08-2017 - Versión corregida: 20-09-2017 - Aprobado para publicación: 15-10-2017
Objetivo: determinar el efecto agudo que tiene sobre los niveles séricos de Lecitin Colesterol Acil Transferasa de mujeres postmenopáusicas la realización de una sesión de ejercicios resistidos, comparados con un grupo control sin ejercicios. Materiales y métodos: dos grupos de postmenopáusicas asignadas al azar (n=10), un grupo realizó una sesión de ejercicios resistidos (8 ejercicios, 3 series a 15 repeticiones) y un grupo control con ejercicios de estiramientos. Inicialmente fueron evaluadas las características antropométricas, funcionales y el perfil lipídico de ambos grupos, en el protocolo experimental se evaluó las concentraciones sanguíneas de HDL y Lecitin Colesterol Acil Transferasa basales en ayunas, antes, inmediatamente y 12 horas después del ejercicio. Se realizó un control nutricional antes y durante la realización del experimento. Resultados: no hubo diferencias en ninguna de las variables antropométricas, nutricionales y del perfil lipídico antes del protocolo experimental (P>0,05). Comparando las medias de los grupos, no se encontraron diferencias estadísticas en ningún momento de evaluación de las concentraciones de HDL y Lecitin Colesterol Acil Transferasa (P>0,05). Conclusión: de forma aguda, los ejercicios resistidos no mostraron influencia sobre las concentraciones sanguíneas de Lecitin Colesterol Acil Transferasa en mujeres postmenopáusicas.
Palabras clave: posmenopausia, ejercicio físico, entrenamiento de resistencia, fuerza muscular.
Rebolledo-Cobos R, Sarmiento LA, Jurado-Castro V, Caro-Freile A, Yepes-Charris Y, Silva-Correa C. Efectos agudos del ejercicio resistido sobre los niveles de Lecitin Colesterol Acil Transferasa en algunas mujeres postmenopáusicas de la ciudad de Barranquilla (Colombia). Arch Med (Manizales) 2017. 17(2):269-7.
Objective: determine the acute effect of performing resistance exercise on serum concentrations of Lecithin Cholesterol Acyl-Tranferase in postmenopausal women. Materials and methods: two groups of postmenopausal women were randomized (n=10). The experimental group performed a resisted exercise session (8 exercises, 3 sets to 15 repetitions) and the control group performed a stretching exercises session. Anthropometrics characteristics, functional and lipid profile were initially evaluated in both groups. In the experimental protocol, blood concentrations of HDL and Lecithin Cholesterol Acyl-Tranferase were measured in fasted state, before, immediately and 12 hours after exercise. The participants were nutritionally controlled before and during the study. Results: there were no significant differences in anthropometrics variables, nutritionals, and lipid profile previous to the experimental protocol (P>0.05). No statistically significant differences were found on blood levels of HDL and Lecithin Cholesterol Acyl-Tranferase between control and experimental group throughout the evaluation (P>0.05). Conclusion: resistance exercise don’t affected acutely, serum concentrations of Lecithin Cholesterol Acyl-Tranferase in postmenopausal women.
Keywords: postmenopause, exercise, resistance training, muscle strength.
Las altas concentraciones de lípidos representan un factor de riesgo transcendental para el desarrollo de las enfermedades cardiovasculares (ECV), ya que comúnmente preceden a la disfunción endotelial vascular, protagonizando la formación de la placa aterosclerótica [1,2]. Existe evidencia que relacionan la realización de una sola sesión de ejercicio físico aeróbico con la disminución de las concentraciones plasmáticas de lípidos, como las lipoproteínas de baja (LDL) y muy baja densidad (VLDL) [3], también encontrando que aumenta la lipoproteína de alta densidad (HDL) y la actividad de la Lecitin Colesterol Acil Transferasa (LCAT), dos sustancias que juegan un papel trascendental en la regulación sistémica del exceso de colesterol [3,4].
A diferencia de los ejercicios aeróbicos qué, en las ciencias de la salud se relacionan con el bienestar cardiometabólico y la prevención de ECV, los ejercicios para el fortalecimiento muscular con resistencias externas o ejercicios resistidos (ER), se asocian principalmente con respuestas en el sentido funcional de la fuerza y resistencia anaeróbica [5]. Aunque se ha encontrado evidencia que los vincula con mecanismos cardio-protectores que inducen al buen funcionamiento de órganos y sistemas corporales, además de ser catalogados como una medida para la prevención de enfermedades crónicas y eventos agudos catastróficos [6]
El rol preventivo del ER tendría su razón de ser debido a su repercusión sobre la asimilación de lípidos y regulación de los marcadores pro y anti-inflamatorios en el organismo [7]. Sin embargo, en comparación con los ejercicios aeróbicos, en la literatura científica internacional existen pocos estudios que evalúan como una sesión de ER modifica los marcadores lipídicos en el torrente sanguíneo, especialmente cuando se intenta observar su influencia sobre las enzimas con función en el metabolismo de lípidos.
La LCAT es una enzima lipoproteíca con la función biológica de esterificar el colesterol libre extracelular, trasportado por las lipoproteínas de alta densidad (HDL), antes de ser llevado al hígado para su catabolismo (transporte inverso del colesterol), fenómeno que debería mantener el equilibrio entre las concentraciones plasmáticas y las tisulares de colesterol libre [8,9] reabsorbiendo el exceso de lípidos, jugando un papel importante en la protección anti-aterogénica [3,10].
Las respuestas agudas de los ER siguen en discusión, debido a la gran diversidad de variaciones en su prescripción y su aplicabilidad en diversas poblaciones. Estos vacíos conceptuales han motivado la realización de la presente investigación, direccionada a analizar la influencia de este tipo de ejercicios en la actividad de la LCAT en un grupo poblacional en situación de vulnerabilidad cardiometabólica, como es el caso de las mujeres postmenopáusicas.
Después de la menopausia, el riesgo de desarrollar ECV en mujeres aumenta de manera alarmante [11]. Este aumento de la vulnerabilidad está relacionado con la disminución de los niveles del estrógeno, hormona que ejerce un papel protector contra el padecimiento de ECV, promocionando un perfil lipídico anti-aterogénico, perfil inmunológico anti-inflamatorio y por acción sobre las paredes de los vasos sanguíneos, evitando así la disfunción endotelial [12]. Las alteraciones fisiológicas, metabólicas y morfológicas asociadas con los cambios en los estilos de vida en las mujeres son evidentes después de la menopausia, caracterizándose por la disminución en el nivel de actividad física, el aumento de índice de masa corporal (IMC), disminución en la masa muscular, disminución en el metabolismo basal y el aumento en las concentraciones de triglicéridos (TG) y LDL [13].
Contextualizando al ejercicio físico como un baluarte de las intervenciones preventivas en salud, surge la necesidad de dilucidar los efectos fisiológicos agudos de modalidades específicas de ejercicio físico que pueden influenciar de manera positiva la salud de poblaciones vulnerables, como mujeres postmenopáusicas. Esta investigación ostenta como objetivo fundamental, determinar el efecto agudo que tiene sobre los niveles séricos de LCAT de mujeres postmenopáusicas la realización de una sesión de ER, comparados con un grupo control sin ejercicios.
La presente investigación corresponde a un estudio cuasiexperimental con aleatorización y ciego simple, de exposición-respuesta, basado en los cambios agudos que proporcionan una modalidad de ejercicio físico específica en marcadores bioquímicos sanguíneos específicos, comparados con un grupo control sin ejercicio resistido.
Sujetos
Un total de 10 mujeres postmenopáusicas voluntarias, trabajadoras de la Fundación Hospital Universitario Metropolitano en la ciudad de Barranquilla. Los criterios de inclusión fueron: mujeres postmenopáusicas sin medicación hormonal sustitutiva y físicamente inactivas. Fueron excluidas aquellas que tenían un historial médico con enfermedades endocrinas graves, metabólicas y/o neuromusculares.
Diseño experimental
La totalidad de sujetos objeto de estudio (n=10) mediante un procedimiento de aleatorización computarizada, fueron divididos en 2 grupos, uno que llevaría a cabo una sesión de ejercicios resistidos (ER, n=5) y un grupo control con una sesión de ejercicios de estiramiento (GC, n= 5).
Todos los procedimientos que se describen en los apartados siguientes fueron realizados en un periodo de tiempo comprendido entre el 1ro de septiembre del 2016 y el 1ro de octubre del mismo año. Inicialmente, ambos grupos fueron citados para una evaluación de las variables funcionales, la composición corporal, valoración antropométrica, tasa metabólica basal (TMB) y monitorización del comportamiento nutricional, de acuerdo a los protocolos que se describen a continuación:
Fuerza máxima
Fueron empleadas pruebas de una repetición máxima (1RM) para los grupos musculares que realizan los ejercicios resistidos. La carga máxima de cada sujeto fue determinada con no más de 5 ejecuciones del ejercicio específico, con una recuperación de 4 minutos entre los intentos.
Antropometría, composición corporal y tasa metabólica basal
Se realizó la valoración antropométrica de las mujeres, determinando la talla, peso y perímetro abdominal utilizando una balanza digital, estadiómetro y cinta métrica marca SECA, a partir de los datos obtenidos se calculó el índice de masa corporal (IMC). Utilizando el impedanciómetro bioeléctrico marca Tanita (TBF-300WA Wrestling Body Composition Analyzer) fue determinada la composición corporal, deduciendo la grasa corporal y masa magra. La Tasa Metabólica Basal (TMB) se calculó mediante la fórmula de Harris-Benedict modificada con el factor de actividad física (+20%) [14]: TMB= [655,0955+(9,5634 x peso en kg)+(1,8449 x altura en cm)-(4,6756 x edad)].
Monitorización y direccionamiento nutricional
En la valoración inicial se proporcionó un documento en el que los sujetos, previa explicación de nutricionista, detallaron su comportamiento alimentario 3 días anteriores a la realización del protocolo experimental. Esto se realizó para evitar resultados en el perfil lipídico influenciados por el consumo de alimentos altos en grasas, para así lograr reducir las alteraciones en los resultados subsecuentes a comportamientos nutricionales atípicos.
El día del protocolo, fue controlada la alimentación, estandarizando el consumo calórico previo a la realización de ejercicios a un 60% de la TMB con factor de actividad física. La estrategia incluyó un desayuno (cereales y frutas), una merienda (cereales) y un almuerzo (carne de pollo, papas y verduras). Toda la ingesta fue preparada, proporcionada y controlada por un nutricionista. Este procedimiento tuvo como objetivo, garantizar que al momento de ejecutar el protocolo, las concentraciones de lípidos estuvieran influenciados por conductas nutricionales similares para cada caso individual. La última ingesta de alimentos para cada caso, fue programada con al menos 5 horas previas a la realización de ejercicios.
Perfil lipídico y LCAT basal
Este procedimiento se realizó a todos los sujetos en un día previo a la realización de ejercicios, en condición de ayuno de 12 horas, las mujeres asistieron a las instalaciones del laboratorio clínico de la Fundación Hospital Universitario Metropolitano donde se le realizó la extracción de 5 ml de sangre para la determinación de las variables bioquímicas.
Protocolo LCAT
En un periodo máximo de una semana después de la evaluación inicial, los sujetos objeto de estudio, arribaron en las instalaciones del gimnasio del Servicio de Fisioterapia de la Fundación Hospital Universitario Metropolitano a las 5:00 pm. Basados en la revisión del documento de monitorización nutricional, la nutricionista autorizó la sesión de ejercicios a las mujeres sin comportamientos nutricionales atípicos que pudiesen interferir en los resultados y que siguieron correctamente los procedimientos establecidos.
Una bacterióloga extrajo muestras de sangre para la evaluación de las variables bioquímicas antes, inmediatamente terminada la sesión de ejercicios y 12 horas después, en ayunas. Las muestras sanguíneas fueron entregadas en el laboratorio para su análisis inmediatamente después de ser extraídas.
Sesión de ejercicios
Los sujetos del grupo de ER realizaron un calentamiento de 10 min, que consistía en una caminata (5 min) y movilización articular general (5 min), luego ejecutaron un total de 8 ejercicios resistidos (1. Extensión de piernas en prensa; 2. Extensión de rodilla en maquina; 3. Flexión de rodilla en maquina; 4. Flexión de codo con mancuernas; 5. Extensión de codo con mancuernas; 6. Aducción de hombros con mancuernas desde abducción en decúbito supino; 7. Serrucho unilateral; y 8. Abdominales con peso libre), cada uno a 3 series por 15 repeticiones, con una relación de 1:1 entre la duración de la contracción concéntrica y excéntrica, a una intensidad del 75% de la fuerza máxima y utilizando un intervalo de recuperación entre series y ejercicios de 45 segundos. La duración total aproximada de dicha sesión fue de 40 minutos.
Los sujetos que componen el grupo control (GC) realizaron una sesión de 40 minutos de estiramientos dirigidos. Finalizado cada una de las sesiones de ejercicios, los sujetos fueron instruidos a consumir solo agua sin ningún componente calórico, hasta la mañana del día siguiente, cuando en condición de ayuno se extrajo la última muestra de sangre.
Análisis estadístico
Se realizó un análisis estadístico descriptivo y comparativo con medidas de medias con respectivas desviaciones estándar. El test de normalidad utilizado fue el de Shapiro-Wilk y el Levene para la homogeneidad. Posteriormente, fue empleado el Test de Análisis de Varianza (ANOVA) two-way. Cuando fue pertinente, fue considerada como prueba post hoc el test de Bonferroni. El nivel de significancia fue de p <0,05 considerándolo en todos los análisis.
Control de sesgos
En el presente estudio se planteó una estrategia estructurada de control de sesgos antes de la aplicación de los protocolos experimentales, esto fue gracias a un análisis exhaustivo de protocolos experimentales con pruebas bioquímicas aplicadas a las ciencias de la actividad física, ejercicio y salud. El sesgo de selección fue controlado mediante la aplicación estricta de los criterios de inclusión y exclusión planteados. Además se controló el sesgo de seguimiento derivado de la selección, aplicando de forma sistemática las mismas pruebas para los dos grupos de sujetos estudiados. Se procuró disminuir el sesgo de información proveniente del protocolo experimental, a través del control de variables fisiológicas (derivadas de la alimentación y la actividad física) en el tiempo correspondiente a la aplicación de los mismos.
Consideraciones éticas
Antes de la participación, a cada uno de los sujetos se informó detalladamente del diseño del experimento, posteriormente dieron su consentimiento informado por escrito. El estudio se realizó de acuerdo a los estándares éticos de la medicina en el ejercicio y deporte, de la Asociación Médica Mundial y la Declaración de Helsinki. El protocolo fue aprobado por el comité de ética de la Universidad Metropolitana de Barranquilla.
La valoración inicial de las mujeres no mostró diferencias estadísticamente significativas entre ninguno de los grupos y para ninguna de las características inicialmente evaluadas. Los valores promedio de todas las variables analizadas en la valoración inicial de las mujeres para la población total y la comparativa entre el grupo experimental y control se describen en la tabla 1. El IMC en la totalidad de las mujeres presento una media por encima de 30 kg/m2, observando que luego de la aleatorización, en cada grupo había 3 mujeres con obesidad grado I (IMC >30 kg/m2) y 2 mujeres con sobrepeso (IMC >25 kg/m2). Con relación al perímetro abdominal, los resultados para la totalidad de sujetos se presentaron dentro de un rango de 91 a 106 cm, estando todas las mujeres con obesidad abdominal acorde con los criterios establecidos por la Organización Mundial de la Salud.
En la tabla 1 también se pueden observar la comparativa de los requerimientos energéticos, composición corporal, fuerza, perfil lipídico y glicemia basal, sin mostrar diferencia estadística para alguna de las variables analizadas (p>0,05).
Tabla 1. Características generales de los sujetos objeto de estudio.

Valores promedio de las variables analizadas en la valoración inicial de las mujeres para la población total y para cada uno de los grupos experimentales. Valor de P muestra la significancia estadística al comparar los valores promedio de las variables en los dos grupos. TMB: tasa metabólica basal; TMBAF: tasa metabólica basal con factor de actividad física; LDL: lipoproteína de baja densidad; VLDL: lipoproteína de muy baja densidad. Fuente: elaboración propia.
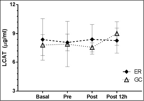
En las figuras 1 y 2 se pueden observar los niveles de LCAT y HDL séricos en cada uno de los momentos de análisis, respectivamente. Para estas dos variables no se observaron diferencias estadísticas en la comparación entre grupos en los registros basales (p>0,05), ni tampoco se observaron diferencias en las concentraciones de los grupos antes, inmediatamente y 12 horas después del ejercicio (p>0,05).

Figura 1. Niveles séricos de Lecitin Colesterol Acil Transferasa (LCAT) en el grupo de ejercicios resistidos (ER) y el control (GC) en los diferentes momentos de análisis: en ayunas (basal), antes del ejercicio (Pre), inmediatamente (Post) y doce horas después del ejercicio en ayunas (Post 12h). Fuente: elaboración propia.

Figura 2. Niveles séricos de la lipoproteína de alta densidad en el grupo de ejercicios resistidos (ER) y control (GC) en los diferentes momentos de análisis: en ayunas (basal), antes del ejercicio (Pre), inmediatamente (Post) y doce horas después del ejercicio en ayunas (Post 12h). Fuente: elaboración propia.
En comparación a los ejercicios aeróbicos, los ER poseen gran variabilidad en la respuesta metabólica subsecuente, influenciada principalmente por el gasto energético (GE) total de la sesión de ER, pudiendo utilizar una menor proporción de calorías durante su ejecución, pero estimula una mayor movilización y oxidación de lípidos durante el periodo de recuperación después del ejercicio [5,15,16]. El GE total inducido por una sesión ejercicio físico es la suma de la energía gastada durante la ejecución de los movimientos y la energía utilizada durante la recuperación después del mismo, fenómeno provocado por diferentes mecanismos metabólicos de obtención de energía [16].
La variación metabólica de los ER parece ser una consecuencia de la posibilidad de diversas combinaciones que proporciona en volumen, intensidad, número y tamaño de los grupos musculares involucrados, intervalos de recuperación, velocidad de ejecución de movimiento y el nivel de condición física de quien lo ejecuta [16]. Bajo estas consideraciones, el presente estudio procuró estructurar la sesión de ER con una base metodológica previamente investigada y que ha denotado implicaciones fisiológicas en el metabolismo de lípidos en mujeres postmenopáusicas. Basándonos en las investigaciones de Rebolledo-Cobos et al (2014) y Correa et al (2015), se establecieron las especificaciones de ejercicio en el grupo con ER [5,17].
A largo plazo, los ER han mostrado eficacia en la reducción de las concentraciones séricas de colesterol total, TG y LDL, así como el aumento de las concentraciones de HDL [18], aunque resultados de otros estudios discrepan, alegando que en diferentes periodos de ER no se producen cambios sobre las concentraciones lipoproteínas en el plasma sanguíneo [19]. Los resultados inmediatos de una sola sesión de ejercicios se asocian principalmente con el aumento en las concentraciones de HDL [19,20], hallazgos muy similares a los encontrados en el presente estudio, evidenciando que en el grupo ER hubo un aumento importante de las concentraciones de HDL con relación a sus niveles antes del ejercicio, sin embargo, estos volvieron a niveles similares a los iniciales después de 12 horas.
En cuanto al efecto del ER sobre la actividad de la LCAT, existen muy pocos antecedentes que evidencien su influencia en las concentraciones séricas o nivel de actividad de esta enzima. La gran mayoría de estudios han evidenciado el efecto agudo del ejercicio aeróbico sobre la LCAT.
En hombres adultos jóvenes, el estudio de Grandjean et al (2000), mostró que la actividad de la LCAT de forma aguda no tiene modificaciones de consideración finalizada una sesión de ejercicios aeróbicos en hombres adultos saludables [21]. No obstante, en el estudio de Weise et al (2005), con una muestra de mujeres postmenopáusicas, mostró principalmente disminuciones en las concentraciones séricas de la LCAT inmediatamente finalizada la sesión de ejercicios, con aumentos marcados entre 24 a 48 horas después [3].
Estos hallazgos varían a los encontrados en la presente investigación, si bien el período de tiempo analizado donde se encontraron las más importantes diferencias con el grupo control es mayor en el estudio de Weise et al (2005) [3], y el grupo poblacional mostró características muy similares a los de este estudio, la respuesta de las concentraciones de LCAT al ER durante los periodos de evaluación antes, inmediatamente después y 12 horas después del ejercicio, mantuvieron una relativa estabilidad, sin mostrar modificaciones estadísticas o de relevancia clínica en el grupo de ER con relación al GC.
Hay que destacar que en los estudios anteriormente mencionados, las variaciones en las concentraciones séricas de LCAT pudieron estar influenciadas por los comportamientos nutricionales de los sujetos estudiados, ya que no se establecieron protocolos alimentarios antes, ni durante las 48 horas de análisis y aunque se fueran establecidos, los mecanismos de regulación del exceso de lípidos de cada sujeto pueden mostrar grandes variaciones en las concentraciones y niveles de actividad de las enzimas con funciones específicas en el metabolismo lipídico. Entendiendo que la alimentación juega un papel crucial en la disponibilidad de lípidos en el torrente sanguíneo y en los subsecuentes mecanismos de regulación, la presente investigación limito en 12 horas sin consumo de alimentos al último análisis de las concentraciones séricas de LCAT, esto con el objetivo de mostrar resultados influenciados únicamente el ejercicio físico planteado y el déficit energético resultante.
Del presente estudio se puede concluir que en mujeres postmenopáusicas, el ER no influenció variaciones importantes en las concentraciones séricas de la enzima LCAT inmediatamente ni 12 horas después de su realización, comparado con un grupo control. También se puede concluir que el grupo de mujeres con ER aumentaron las concentraciones sanguíneas de HDL inmediatamente finalizada la sesión, refutando la idea de su importante influencia en la regulación lipémica de manera aguda.
El principal factor limitante del presente estudio es la baja cantidad de muestra. Los resultados provenientes de los análisis bioquímicos de dos grupos con solo 5 sujetos cada uno, podría enmascarar el efecto real del ejercicio resistido sobre las concentraciones de las enzimas con función metabólica, considerando especialmente que se podían obtener resultados más diversos y representativos al realizar comparaciones con una cantidad de sujetos mayor. También es importante mencionar que comparaciones en el comportamiento de las enzimas con función metabólica gozaría de mayor relevancia si no solo se evaluaran las concentraciones sanguíneas sino que también se pudieran evaluar los niveles de actividad de las mismas, especialmente si se comparan con un grupo adicional que ejecute una sesión de ejercicios aeróbicos.
Conflictos de interés: los autores declaramos que no existe ningún tipo de conflicto de intereses con entidades o personas que hayan motivado la creación del presente estudio.
Fuentes de financiación: la presente investigación fue financiada por la Dirección Institucional de Investigaciones de la Universidad Metropolitana de Barranquilla.
Literatura citada
![]()