Germán Forero1, Javier Rodríguez2, Signed Prieto Bohórquez3, Frank Pernett4, Catalina Correa5, Esmeralda Guzmán6, Camila Sarmiento7, Sergio Diaz8
1 MD. Neurocirujano. Investigador Grupo Insight. Bogotá, Colombia.
2 MD. Director del Grupo Insight. Centro de Investigaciones Clínica del Country. Bogotá, Colombia. Correspondencia: Cra. 79B N° 51-16 Sur. Int. 5. Apto. 102, Barrio Kennedy, Bogotá D.C., Colombia. Teléfono: 4527541; Correo electrónico: grupoinsight2025@yahoo.es
3 Investigadora Grupo Insight. Centro de Investigaciones Clínica del Country. Bogotá, Colombia.
4 MD. Jefe de Hospitalización crítica y no crítica. Unidad de Cuidados Intensivos Adultos, Clínica del Country.
5 Psc. Investigadora Grupo Insight. Centro de Investigaciones Clínica del Country.
6 MD. Investigadora Grupo Insight. Centro de Investigaciones Clínica del Country.
7 Matemática. Investigadora Grupo Insight. Centro de Investigaciones Clínica del Country.
8 Matemático. Investigador Grupo Insight. Centro de Investigaciones Clínica del Country.
Archivos de Medicina (Manizales), Volumen 16 N° 2, Julio-Diciembre 2016, ISSN versión impresa 1657-320X, ISSN versión en línea 2339-3874. Forero G.; Rodríguez J.; Prieto Bohórquez S.; Pernett F.; Correa C.; Guzmán E.; Sarmiento C.; Díaz S.
Forero G, Rodríguez J, Prieto, Bohórquez S, Pernett FD, Correa C, Guzmán E, et al. Sistemas dinámicos aplicados a la dinámica cardíaca en 18 horas mediante una ley matemática exponencial. Arch Med (Manizales) 2016; 16(2):335-4.
Recibido para publicación: 10-10-2016 - Versión corregida: 28-11-2016 - Aprobado para publicación: 30-11-2016
Resumen
Objetivo: confirmar la capacidad diagnostica de una ley exponencial de ayuda diagnostica, desarrollada para 21 horas con base en la teoría de sistemas dinámicos junto con la geometría fractal, en evaluaciones realizadas en 18 horas, mediante un estudio de concordancia diagnóstica con respecto al Gold estándar. Materiales y métodos: se realizó un estudio de 60 dinámicas cardiacas evaluadas en Holter y registros electrocardiográficos continuos, de los cuales 15 provienen de sujetos normales y 45 de pacientes con diferentes tipos de patologías cardiacas. Se desarrollaron simulaciones teóricas de la secuencia de las frecuencias cardiacas durante 18 horas, y se construyeron atractores. Se calculó la dimensión fractal de cada atractor y su ocupación espacial en el espacio generalizado de Box-Counting. Se determinó el diagnóstico matemático a partir de la ley y se calculó sensibilidad, especificidad y coeficiente Kappa. Resultados: se encontraron valores para normalidad entre 219 y 373 en la rejilla Kp y entre 49 y 70 para enfermedad aguda, evidenciando que el método permite diferenciar normalidad de enfermedad aguda mediante la ocupación espacial de los atractores valorados desde la ley matemática en 18 horas. Se encontraron valores de sensibilidad y especificidad del 100% y un coeficiente Kappa de 1 al comparar el diagnóstico físico-matemático con el Gold estándar. Conclusión: la ley exponencial de los sistemas dinámicos cardiacos aplicada en 18 horas es útil como herramienta de ayuda diagnóstica, permitiendo cuantificar casos normales, en evolución hacia la enfermedad y en estados agudos.
Palabras clave: enfermedades cardiovasculares, diagnóstico, arritmias cardíacas, electrocardiografía ambulatoria.
Summary
Objective: to confirm the diagnostic capacity of an exponential diagnostic aid law, developed for 21 hours, based on the theory of dynamic systems along with the fractal geometry, in evaluations carried out in 18 hours, through a diagnostic concordance study with respect to the gold standard. Materials and methods: a study of 60 cardiac dynamics evaluated in Holter and continuous electrocardiographic recordings was performed, of which 15 come from normal subjects and 45 from patients with different types of heart diseases. Theoretical simulations of the sequence of heart rates were developed for 18 hours, and were built attractors. The fractal dimension of each attractor and its spatial occupation in the generalized Box-Counting space was calculated. Mathematical diagnosis is determined from the law and sensitivity, specificity and Kappa coefficient was calculated. Results: values normally found between 219 and 373 in the Kp grid and between 49 and 70 for acute disease, showing that the method can differentiate normal acute disease by spatial occupation of attractors assessed from the mathematical law in 18 hours. Sensitivity and specificity of 100% and a Kappa coefficient of 1 were found by comparing the physical-mathematical diagnosis with the Gold standard. Conclusion: the exponential mathematical law of cardiac dynamic systems applied in 18 hours is useful as a diagnostic aid tool, allowing quantifying normal cases, evolving towards disease and acute conditions.
Keywords: cardiovascular diseases, diagnosis, cardiac arrhythmias, ambulatory electrocardiography.
Introducción
La teoría de los sistemas dinámicos fue desarrollada con el fin de analizar los estados y la evolución de los sistemas, entendidos como conjuntos de elementos en interacción, ya sean predecibles o impredecibles. Para ello se han desarrollado procedimientos matemáticos para analizar el cambio en el tiempo de las variables que los componen [1]. Los espacios de fases son espacios geométricos en los cuales se logran representaciones graficas de la evolución de los sistemas, conocidos como atractores. De acuerdo a si las trayectorias de las dinámicas son predecibles o impredecibles [2] se establecen diferentes tipos de atractores; en el primer caso se obtienen atractores puntuales o cíclicos, mientras que el segundo se produce atractores caóticos, caracterizados por su irregularidad. Esta condición hace que hayan sido cuantificados mediante geometría fractal, desarrollada por B. Mandelbrot para evaluar objetos irregulares [3,4].
Las enfermedades cardiovasculares constituyen uno de los principales retos del siglo XXI en el área de la salud, dado que de acuerdo con estimaciones del World Health Organization se espera que la cantidad de muertes llegue aumentar de 17.000.000 en el 2008 a 25.000.000 en el 2030 [5], siendo los países con ingresos económicos bajos y medios los más afectados, dado que el 80% de las ECV se dan en estas regiones [6].
En estas circunstancias se hace necesario el desarrollo y optimización de métodos para detectar tempranamente alteraciones cardiacas de potencial gravedad. A nivel ambulatorio El Holter es uno de los exámenes de mayor importancia para la identificación de alteraciones del ritmo cardiaco [7], mientras que a nivel intrahospitalario, especialmente en unidades de cuidados intensivos, se utilizan monitores de registro electrocardiográfico continuo para el seguimiento de pacientes en estados críticos.
El análisis del intervalo RR permite establecer algunas indicaciones para diferenciar normalidad de estados patológicos específicos [8,9], pero aún presentan dificultades para su aplicación clínica. Una de las razones de esto es que son analizados desde la perspectiva homeostática planteada por la fisiología, desde la cual se asume que la normalidad está asociada a estados regulares, mientras que ante el envejecimiento o la enfermedad el organismo pierde capacidad para mantener el ritmo cardiaco [10]. Diferentes estudios han evidenciado que esta perspectiva resulta inadecuada para comprender el comportamiento de la dinámica cardiaca, y han señalado nuevas vías de análisis a partir de teorías y métodos matemáticos como los sistemas dinámicos, la teoría del caos o la geometría fractal [11-14].
Goldberger et al [15], han desarrollado estudios desde la teoría de los sistemas dinámicos que dieron lugar a una concepción normalidad enfermedad diferente de la planteada por la fisiología convencional, desde la cual la enfermedad presenta dinámicas extremadamente aleatorias o por el contrario muy regulares y periódicas, en tanto que la normalidad se encuentra en el intervalo comprendido entre estos comportamientos extremos. Esta perspectiva dio lugar a trabajos como los desarrollados por Huikuri et al, quienes establecieron nuevos índices para la predicción de mortalidad en pacientes con infarto agudo de miocardio y Fracción de Eyección menor al 30%, superando los parámetros convencionales [16].
Es así que desde los sistemas dinámicos y al geometría fractal Rodríguez et al [17] desarrollaron una ley exponencial para los sistemas dinámicos cardiacos mediante la cual es posible diagnosticar y cuantificar el nivel de gravedad de cada dinámica, diferenciando estados de normalidad, evolución o enfermedad aguda, además de establecer la totalidad de dinámicas posibles para cada estado. Su capacidad diagnostica se ha confirmado en múltiples estudios posteriores, incluyendo un estudio ciego con 115 casos [18], hallando valores de sensibilidad, especificidad del 100% y un coeficiente Kappa de uno, y varios estudios de aplicación de la metodología a arritmias [19,20], que evidencian la capacidad del método para detectar alteraciones leves subdiagnosticadas y cuantificar el grado de avance de la arritmia.
Recientemente se desarrolló un trabajo en el que se evidencia la capacidad de esta ley para diagnosticar acertadamente aun en periodos de 18 horas, facilitando de este modo su implementación clínica (en evaluación para publicación). El propósito de este trabajo es confirmar la capacidad diagnostica de esta ley en 18 horas, mediante su aplicación a un mayor número de casos y su comparación respecto al Gold Standard mediante un estudio ciego.
Materiales y métodos
Definiciones
Espacio de fases: espacio de 2 o más dimensiones en el que se representa geométricamente la dinámica de un sistema mediante la representación gráfica de los pares ordenados de valores correspondientes a una variable dinámica consecutiva en el tiempo.
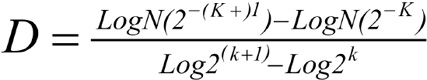
Dimensión Fractal de Box-Counting: se define por la siguiente ecuación:

Ecuación 1
En donde D corresponde a la dimensión fractal; N corresponde al número de cuadros ocupado por el objeto en la cuadricula de grado de partición k.
Ecuación de Box-Counting simplificada: se obtiene a partir de la ecuación 1, aplicada a dos cuadrículas que tienen una proporción de ½ en sus dimensiones, obteniendo de este modo la siguiente ecuación:
Ecuación 2
Kp es el número de cuadros ocupados por la cuadricula más pequeña y Kg los correspondientes a la cuadricula grande.
Ley exponencial de la dinámica caótica cardiaca [17-20] se fundamenta en un despeje de la ecuación 2 y se expresa matemáticamente así:
Ecuación 3
Población
Se tomaron en total 60 registros electrocardiográficos continuos o Holter, evaluados durante 21 horas, de individuos mayores de 21 años, de los cuales 15 correspondieron a casos diagnosticados dentro de límites normales por un cardiólogo experto, mientras que 45 casos fueron casos con diferentes tipos de patologías cardiacas. Los registros provienen de bases de datos de investigaciones previas del Grupo Insight.
Procedimiento
Se enmascararon las conclusiones clínicas de los registros estudiados. Se tomaron los valores máximos y mínimos de las frecuencias cardiacas y el número total de latidos por hora durante 18 horas. Esta información se utilizó para generar una secuencia pseudoaleatoria de la totalidad de frecuencias cardiacas mediante de un algoritmo equiprobable. Luego se construyó un atractor caótico graficando una frecuencia contra la siguiente en el tiempo en el espacio de fases. A continuación se calculó la dimensión fractal por medio del método de Box-Counting (Ecuación 2) superponiendo dos rejillas para cuantificar los espacios ocupados, Kp y Kg, por cada atractor.
Partiendo de la ecuación 3 se estableció el diagnóstico físico y matemático de cada registro, de acuerdo a la ley previamente desarrollada [17-20], de acuerdo con la cual la enfermedad aguda presenta espacios de ocupación Kp inferiores a 73; la normalidad se caracteriza por espacios de ocupación Kp mayores de 200; finalmente la evolución hacia la enfermedad aguda y los estados crónicos se delimitan en el intervalo de espacios de ocupación entre 73 y 200.
Análisis estadístico
Asumiendo como Gold- Standard los resultados diagnósticos establecidos por un cardiólogo experto de acuerdo con los parámetros convencionales, logradas en 21 horas, se calcularon falsos negativos, falsos positivos, verdaderos positivos y verdaderos negativos por medio de una tabla de contingencia de 2x2, a partir de lo cual se estableció la sensibilidad y especificidad. Adicionalmente se estableció el nivel de concordancia entre el Gold-estándar y el diagnóstico físico matemático mediante el coeficiente Kappa.
Aspectos éticos
El presente estudio cumple con los principios éticos, técnicos y científicos de la Declaración de Helsinki de la Asociación Médica Mundial. De acuerdo con la Resolución 8430 de 1993 del Ministerio de Salud de Colombia se establece como una investigación con riesgo mínimo dado que se realizan cálculos físicos y matemáticos sobre reportes de exámenes y paraclínicos no invasivos que han sido prescritos previamente según protocolos establecidos convencionalmente, protegiendo el anonimato e integridad de los participantes.
Resultados
El diagnóstico convencional tanto de los registros electrocardiográficos continuos como ambulatorios se observa en la tabla 1. Las dimensiones fractales calculadas para los atractores de dinámicas normales en 18 horas oscilaron entre 1,171 y 1,963. Las dimensiones fractales de los atractores anormales presentaron valores entre 0,807 y 1,8705. Estos valores corroboran hallazgos previos, donde se evidencia que la dimensión fractal no permite el establecimiento de diferencias entre las distintas dinámicas cardiacas (ver tabla 1).
Tabla 1. Información de algunos registros electrocardiográficos ambulatorios y continuos del estudio; se registra edad y diagnóstico establecido según parámetros clínicos convencionales
No. |
Edad (años) |
Diagnóstico clínico |
1 |
44 |
Normal |
2 |
30 |
Normal |
3 |
42 |
Normal |
4 |
38 |
Normal |
5 |
32 |
Normal |
6 |
31 |
Normal |
7 |
79 |
Soplo sistólico |
8 |
68 |
IAM, Ectopia ventricular frecuente de dos morfologías con bigeminismo. Disminución severa de la variabilidad de la frecuencia cardiaca, trastorno fijo de la repolarización |
9 |
31 |
Normal |
10 |
60 |
Síncope, Ritmo sinusal. Bloqueo de rama |
11 |
81 |
Bloqueo Auriculo Ventricular 2°. Grado. Ritmo de fibrilación atrial con respuesta ventricular no controlada, ectopias ventriculares dimorfas con frecuentes dupletas, 7 episodio de taquicardia ventricular |
12 |
38 |
Normal |
13 |
58 |
arritmia supraventricular, ESV frecuente, ligera disminución en la variabilidad de la FC |
14 |
59 |
sincope, disminución moderada de la variabilidad de la FC, EV infrecuente monomorfica sin fenomenos repetitivos |
15 |
32 |
Normal |
16 |
83 |
Intervalo PR corto que debe correlacionarse con electrocardiograma de superficie |
17 |
61 |
bradicardia sinusal, EV ocasionales, EA no conducida sin fenómenos repetitivos, sugiere desfunción sinusal |
18 |
73 |
Taquicardia Supraventricular, Ritmo sinusal. Variabilidad RR disminuida |
19 |
59 |
Infarto Agudo de Miocardio |
20 |
32 |
Normal |
21 |
52 |
Fibrilación auricular, EC frecuente de carias morfologías con bigeminismo |
22 |
71 |
Infarto agudo de miocardio, bradicardia, Disminución severa de la variabilidad de la frecuencia cardíaca |
Fuente: Base de datos Grupo Insight.
Las dinámicas cardiacas normales evaluadas en 18 horas tuvieron espacios de ocupación entre 219 y 373 para la rejilla Kp, y las anormales presentaron espacios de ocupación entre 49 y 198 para ésta rejilla (ver tabla 2). Los espacios de ocupación de las dinámicas para la rejilla Kg en 18 horas presentaron valores para normalidad que oscilaban entre 59 y 98; para anormalidad se evidenciaron valores entre 18 y 113 (ver tabla 2).
Los resultados encontrados mostraron que los límites que fueron establecidos para normalidad y enfermedad aguda mediante la ley aplicada en 21 horas, permiten realizar diagnósticos de las dinámicas en 18 horas, a partir de la evaluación de los espacios de ocupación del atractor en la rejilla kp, aspecto que fue confirmado con el análisis estadístico, donde se evidenciaron valores de sensibilidad y especificidad del orden del 100%, y un coeficiente Kappa con valor de 1. En la Figura 1 se pueden observar las dinámicas cardiacas normales (paciente 6) y agudas (paciente 22) evaluadas en 21 horas. Igualmente en la Figura 2 se evidencian las dinámicas normales (paciente 6) y agudas (paciente 22) evaluadas en 18 horas. Ambas figuras evidencian que las dinámicas normales presentan espacios de ocupación mayores que los de enfermedad aguda, permitiendo su diferenciación, tanto en 21 como en 18 horas.
Tabla 2. Valores de los espacios de ocupación de los atractores cardiacos caóticos evaluados en 18 y 21 horas. Corresponden a los registros electrocardiográficos ambulatorios y continuos de la tabla 1. Kp corresponde a los valores de la rejilla de cuadros pequeños; Kg corresponde a los valores de la rejilla de cuadros grandes y DF es la dimensión fractal
|
21 horas |
18 horas |
||||
No. |
Kp |
Kg |
DF |
Kp |
Kg |
DF |
1 |
260 |
69 |
1,9138 |
260 |
70 |
1,8931 |
2 |
274 |
77 |
1,8312 |
270 |
76 |
1,8289 |
3 |
258 |
73 |
1,8214 |
260 |
75 |
1,7935 |
4 |
301 |
87 |
1,7907 |
299 |
88 |
1,7646 |
5 |
319 |
85 |
1,908 |
322 |
83 |
1,9559 |
6 |
338 |
96 |
1,8159 |
327 |
92 |
1,8295 |
7 |
178 |
81 |
1,1359 |
179 |
83 |
1,1088 |
8 |
47 |
16 |
1,5546 |
51 |
18 |
1,5025 |
9 |
269 |
72 |
1,9015 |
264 |
74 |
1,8349 |
10 |
119 |
34 |
1,8074 |
119 |
33 |
1,8504 |
11 |
192 |
87 |
1,142 |
192 |
89 |
1,1092 |
12 |
226 |
99 |
1,1908 |
231 |
97 |
1,2518 |
13 |
199 |
61 |
1,7059 |
197 |
63 |
1,6738 |
14 |
126 |
36 |
1,8074 |
130 |
36 |
1,8524 |
15 |
226 |
59 |
1,9375 |
224 |
61 |
1,8766 |
15 |
171 |
52 |
1,7174 |
168 |
51 |
1,7199 |
17 |
78 |
24 |
1,7004 |
78 |
23 |
1,7618 |
18 |
199 |
114 |
0,8037 |
196 |
113 |
0,8074 |
19 |
68 |
25 |
1,4436 |
68 |
24 |
1,5025 |
20 |
351 |
91 |
1,9475 |
351 |
92 |
1,9318 |
21 |
74 |
25 |
1,5656 |
78 |
24 |
1,7004 |
22 |
65 |
21 |
1,6300 |
60 |
22 |
1,4474 |
Fuente: autores.

Figura 1. Las dinámicas cardiacas normales evaluadas en 21 horas.
Fuente: autores.

Figura 2. Las dinámicas cardiacas normales evaluadas en 18 horas.
Fuente: autores.
Discusión
Este es el primer trabajo en el que se confirma mediante un estudio de concordancia diagnóstica la capacidad de la ley caótica exponencial de la dinámica cardiaca para diferenciar matemáticamente dinámicas con comportamiento normal, en evolución entre normalidad y enfermedad, y con enfermedad aguda reduciendo el tiempo de evaluación a 18 horas, a partir de un estudio ciego con 60 Holter y registros electrocardiográficos continuos. Las medidas de sensibilidad y especificidad presentaron valores del 100% y un coeficiente Kappa de 1 al ser contrastada respecto al diagnóstico convencional, tomado como Gold Standard. Al ser un método que cuantifica objetivamente el nivel de gravedad de la patología, constituye un método preventivo que permite detectar casos con alteraciones leves, subdiagnosticados desde los métodos convencionales, así como cuantificar el nivel de gravedad de los casos en evolución y en estados agudos a partir de la disminución en la ocupación espacial del atractor cardiaco en el espacio fractal generalizado de Box Counting, evaluado desde la ley matemática exponencial.
La ley matemática de los sistemas dinámicos cardiacos aplicada en la presente investigación fue desarrollada originalmente a partir de un razonamiento físico-matemático teórico estricto, desde un método inductivo y el desarrollo de una demostración matemática mediante la cual se determinó el número total de dinámicas cardiacas posibles. El carácter general, objetivo y reproducible de la ley facilita su automatización para su aplicación en la práctica clínica diaria, y ha demostrado su efectividad en el análisis, tanto de patologías cardiacas en general [18], como de casos de arritmias [19-21]. Además, como se demuestra en la presente investigación, permite reducir el tiempo de evaluación de la dinámica, lo que tiene implicaciones tanto para optimizar la respuesta clínica en situaciones de urgencia como para disminuir recursos humanos y económicos para la determinación del diagnóstico. Por lo anteriormente mencionado, los resultados producto de esta investigación, son aplicables de manera inmediata a la práctica clínica.
La fisiología clásica se basa en una noción homeostática del cuerpo humano, desde la cual la normalidad presenta a un comportamiento regular y periódico [22], posición que ha sido contradicha por los hallazgos logrados desde el estudio estricto de fenómenos como la dinámica cardiaca a partir de los sistemas dinámicos [15]. Estos hallazgos han proporcionado nuevas vías de investigación para mejorar los resultados logrados a partir del análisis de la variabilidad de la frecuencia cardiaca, que normalmente se desarrollan desde la perspectiva homeostática convencional, aplicando medidas estadísticas que evalúan la desviación de la dinámica respecto a promedios. Sin embargo este tipo de trabajos solamente ha logrado resultados parciales, asociando disminuciones de la variabilidad a condiciones clínicas específicas como el infarto agudo de miocardio [23]. En general, aunque se han desarrollado múltiples aplicaciones y análisis a partir de métodos no lineales, aún se presenta muchas dificultades para considerarlas como metodologías aplicables a nivel clínico [24,25]. Por esta razón, se justifica el desarrollo de trabajos como esta investigación, donde las implicaciones clínicas y diagnosticas puedan ser confirmadas. La evaluación de la autoorganización total del sistema a partir de la ley matemática aplicada en este trabajo permite predecir la progresión hacia enfermedad o la agudización independientemente de que desde los métodos de evaluación convencional sólo se encuentren cambios de corta duración y transitorios, dando respuesta así a las falencia de los trabajos actualmente publicados [24,25].
Esta ley matemática está fundamentada en la línea de razonamiento acausal de la física teórica moderna. Del mismo modo que la teoría del caos [1,13,26], la mecánica cuántica [27] y la mecánica estadística [28,29], logran establecer algunas de las predicciones más precisas de la historia de la ciencia independientemente de causas, el diagnóstico de la dinámica cardiaca independiente de etiología, sexo, edad si es mayor de 21 años, factores de riesgo u otras consideraciones de tipo poblacional y estadístico, logrando cuantificaciones objetivas para cada caso particular.
Esta perspectiva físico matemática acausal ha dado lugar a nuevos diagnósticos y predicciones de la dinámica cardiaca no sólo desde la ley mencionada, sino desde otras como la ley empírica de Zipf/Mandelbrot [30,31], o la probabilidad y la entropía [32]. En otras áreas de la medicina se han logrado diagnósticos del proceso de alteración celular en eritrocitos [33,34] y células de cérvix [35], o del proceso de restenosis arterial [36]; así mismo se han logrado predicciones de fenómenos como los brotes de malaria en 820 municipios de Colombia [37], el número de linfocitos T CD4 en pacientes con HIV [38] y la unión de péptidos al HLA clase II [39]. Recientemente se desarrollaron predicciones de mortalidad en pacientes de Unidad de Cuidados intensivos, a partir de la teoría de sistemas dinámicos y la teoría de conjuntos aplicadas a cuatro variables hemodinámicas [40].
Agradecimientos
Este artículo es producto del proyecto Evaluación física y matemática de variables hermodinámicas de pacientes de la Unidad de Cuidados Intensivos fundamentada en la geometría fractal y los sistemas dinámicos: Cuantificaciones de aplicación clínica en 14 horas desarrollado en el Centro de Investigaciones de Clínica del Country, en alianza con la Universidad Militar Nueva Granada.
Extendemos nuestros agradecimientos al Centro de Investigaciones de la Clínica del Country, en especial a las Doctoras del Centro de Investigaciones Adriana Lizbeth Ortiz, epidemióloga, y Silvia Ortiz, enfermera jefe, a la enfermera Sandra Rodríguez y a los Doctores Tito Tulio Roa, Director de Educación Médica, Jorge Alberto Ospina, Director Médico, y Alfonso Correa, Director del Centro de Investigaciones, así mismo a la enfermera Sandra Rodríguez, por el apoyo constante a nuestro grupo de investigación.
Agradecemos también a la Universidad Militar Nueva Granada, especialmente a la Dra. Nydia Alexandra Rojas, Directora de Investigaciones de la Facultad de Medicina, al Dr. Jorge Luque, Decano de la Facultad de Medicina y a la Dra. Yanneth Méndez, Vicerrectora académica.
Dedicatoria
A nuestros hijos.
Conflictos de interés: los autores declaran no tener conflictos de interés.
Fuentes de financiación: Universidad Militar Nueva Granada.
Literatura citada
1. Devaney R. A first course in chaotic dynamical systems theory and experiments. Reading Mass: Addison- Wesley; 1992.
2. Peitgen H, Jurgens H, Saupe D. Chaos and fractals; new frontiers of science. New York: Springer; 1992.
3. Mandelbrot B. Los Objetos Fractales. 3ra ed. Barcelona: Tusquets Eds. S.A; 1988, p.27-50.
4. Mandelbrot B. The fractal geometry of nature. Barcelona: Tusquets Eds S.A; 2000. P.341-348.
5. Organización Mundial de la Salud. Estadísticas sanitarias mundiales. Ginebra: OMS; 2012.
6. World Health Organization. Global Atlas on cardiovascular disease prevention and control. Geneva: WHO; 2014.
7. Pineda M, Matiz H, Rozo R. Enfermedad coronaria. Bogotá: Editorial Kimpres Ltda; 2002.
8. Barron H, Viskin S. Autonomic markers and prediction of cardiac death after myocardial infarction. Lancet 1998; 351:461-2.
9. Wolf M, Varigos G, Hunt D, Sluman J. Sinus arrhythmia in acute myocardial infarction. Med J Aus; 1978 2:52-3.
10. Goldberger A, Rigney DR, West B. Caos y Fractales en la fisiología humana. Inv y cienc 1990; 163:32-38.
11. Walleczek J. Nonlinear Dynamics, Self-Organization, and Biomedicine. Cambridge: Cambridge Univ. Press; 1999.
12. Goldberger A. Heartbeats, hormones, and Health - Is variability the spice of life?. A J Resp Crit Card Med 2001; 163(6):1289-1290.
13. Lavenda, Bernard H. Orden y caos. Barcelona: Prensa Cientifica 1990; p. 28- 37.
14. Peitgen H, Jurgens H, Saupe D. Chaos and fractals; new frontiers of science. New York: Springer; 1992.
15. Goldberger A, Amaral L, Hausdorff JM, Ivanov P, Peng Ch, Stanley HE. Fractal dynamics in physiology: alterations with disease and aging. PNAS 2002; 99:2466-2472.
16. Huikuri HV, Mäkikallio T, Peng CK, Goldberger A, Hintze U, Moller M. Fractal correlation properties of R-R interval dynamics and mortality in patients with depressed left ventricular function after and acute myocardial infarction. Circulat. 2000; 101:47-53.
17. Rodríguez J. Mathematical law of chaotic cardiac dynamic: Predictions of clinic application. J Med Med Sci 2011; 2(8):1050-1059.
18. Rodríguez J, Correa C, Melo M, Domínguez, D, Prieto S, Cardona DM, et al. Chaotic cardiac law: Developing predictions of clinical application. J Med Med Sci 2013; 4(2):79-84.
19. Rodríguez J, Prieto S, Domínguez D, Correa C, Melo M, Pardo J, et al. Application of the chaotic power law to cardiac dynamics in patients with arrhythmias. Rev Fac Med 2014; 62(4):539-46.
20. Rodríguez J, Prieto S, Correa C, Soracipa Y, Cardona DM, Prieto I, et al. Ley matemática para evaluación de la dinámica cardiaca: aplicación en el diagnóstico de arritmias. Rev Cienc Salud 2015; 13(3):369-381.
21. Rodríguez J, Narváez R, Prieto S, Correa C, Bernal P, Aguirre G, et al. The mathematical law of chaotic dynamics applied to cardiac arrhythmias. J Med Med Sci 2013; 4(7):291-300.
22. Guyton A, Hall J. Tratado de fisiología médica. 12a. ed. Barcelona: Elsevier; 2011:3-10.
23. Malik M, Farrell T, Cripps T, Camm AJ. Heart rate variability in relation to prognosis after myocardial infarction: Selection of optimal processing techniques. Eur Heart J 1989; 10:1060-74.
24. Juha S, PerkiöMä Ki, Timo H, MäKikallio, Huikuri H. Fractal and complexity measures of heart rate variability. Clin Exp Hypertens 2005; 2 y 3: 149-58.
25. Voss A, Schulz S, Schroeder R, Baumert M, Caminal P. Methods derived from nonlinear dynamics for analysing heart rate variability. Phil Trans R Soc A 2009; 367(1887):277-296.
26. Crutchfield J, Farmer D, Packard N, Shaw R. Orden y Caos. Barcelona: Prensa Cientifica S.A. 1990; P. 78-90.
27. Feynman RP, Leighton RB, Sands M. Física. Wilmington: Addison-Wesley Iberoamericana, S. A.; 1964. p. 37-1 - 37-16.
28. Feynman RP, Leighton RB, Sands M. Física. Wilmington: Addison-Wesley Iberoamericana, S. A; 1964. p 44.1-44.
29. Tolman R. Principles of statistical mechanics. New York: Dover Publications; 1979.
30. Rodríguez J, Prieto S, Correa C, Mendoza F, Weisz G, Soracipa M, et al. Physical mathematical evaluation of the cardiac dynamic applying the Zipf – Mandelbrot law. J of Mod of Phy 2015; 6(13):1881-1888.
31. Rodríguez J, Prieto S, Ortiz L, Bautista A, Bernal P, Avilán N. Diagnóstico Matemático de la Monitoria Fetal aplicando la ley de Zipf Mandelbrot. Rev Fac Med Univ Nac Colomb 2006; 54(2):96-107.
32. Rodríguez J, Prieto S, Domínguez D, Melo M, Mendoza F, Correa M, et al. Mathematical-physical prediction of cardiac dynamics using the proportional entropy of dynamic systems. J Med Med Sci 2013; 4(8):370-381.
33. Correa C, Rodríguez J, Prieto S, Álvarez L, Ospino B, Munévar A, et al. Geometric diagnosis of erythrocyte morphophysiology: Geometric diagnosis of erythrocyte. J Med Med Sci 2012; 3(11):715-720.
34. Rodríguez J, Prieto S, Correa S, Mejía M, Ospina B, Munevar Á, et al. Simulación de estructuras eritrocitarias con base en la geometría fractal y euclidiana. Arch Med (Maniz) 2014; 14(2):276-284.
35. Prieto S, Rodríguez J, Correa C, Soracipa Y. Diagnosis of cervical cells based on fractal and Euclidian geometrical measurements: Intrinsic Geometric Cellular Organization. BMC Med Phys 2014; 14(2):1-9.
36. Rodríguez J, Prieto S, Correa C, Bernal P, Puerta G, Vitery S, et al. Theoretical generalization of normal and sick coronary arteries with fractal dimensions and the arterial intrinsic mathematical harmony. BMC Med Phys 2010;10:1-6.
37. Rodríguez J. Método para la predicción de la dinámica temporal de la malaria en los municipios de Colombia. Rev Panam Sal Púb 2010; 27(3):211-218.
38. Rodríguez J, Prieto S, Correa C, Pérez C, Mora J, Bravo J, et al. Predictions of CD4 lymphocytes’ count in HIV patients from complete blood count. BMC Med Phy 2013; 13:3.
39. Rodríguez J. Teoría de unión al HLA clase II teorías de Probabilidad Combinatoria y Entropía aplicadas a secuencias peptídicas. Inmun 2008; 27(4):151-66.
40. Rodríguez J. Dynamical systems applied to dynamic variables of patients from the intensive care unit (ICU): Physical and mathematical mortality predictions on ICU. J Med Med Sci 2015; 6(8):209-220.
