|
Resumen |
Finances and Accounting. |
Introducción
Al interior de la gestión empresarial está como uno de los objetivos prin-
cipales, proteger el capital, optimizar su uso y obtener ganancias pero, el
éxito, está influenciado por factores exógenos, incontrolables, producto del
dinamismo de los mercados y su competitividad, que llevan a la empresa
a trasegar por el camino de la incertidumbre al no tener un futuro cierto,
enfrentando el riesgo (Hernández, 2003).
Según De Lara (2007) “El riesgo es la incertidumbre acerca de un evento
futuro. Está asociado tanto a un resultado favorable como desfavorable. La
correcta identificación, medición, monitoreo y control de riesgos, permite a
las instituciones: optimizar el rendimiento sobre el capital ajustado por el
nivel de riesgo, optimizar las decisiones relativas a su operación y prevenir
pérdidas”. Una de las formas de cubrir los riesgos es sintética, traducida en
instrumentos o activos financieros que se derivan de otros y, por lo tanto, se
denominan Derivados Financieros, tema inicial que abordará este artículo.
“La utilización moderna de los instrumentos derivados creció y penetró
profundamente los mercados financieros desde mediados de los ochenta
y, de manera generalizada, en los años noventa” (Esquivel, 2008, p. 21).
Inicialmente, se realiza una revisión de la literatura sobre los métodos de
medición y valoración del riesgo, los Derivados Financieros, el manejo de las
Opciones Financieras, el uso matemático del modelo de Valoración de Black
Scholes y, finalmente, una breve descripción de la herramienta R- Project.
Luego, se menciona la metodología utilizada, con el fin de presentar los re-
sultados al desarrollar una serie de instrucciones que al ser aplicadas en el
programa R-Project, permiten valorar la opciones para acciones y se obtienen
resultados de una manera rápida y sencilla, necesarios para el análisis en la
toma de decisiones. Finalmente, en las conclusiones se explican los cambios
en el valor de la opción, ante variaciones en cada uno de sus parámetros.
Marco teórico
2.1 Riesgo y cobertura
Existen métodos cuantitativos y cualitativos para medir y valorar los riesgos
a los que se expone la empresa en el mercado; los métodos cuantitativos,
utilizan herramientas basadas en el cálculo de probabilidades, las simula-
ciones y los análisis de sensibilidad y permiten, de esta manera, optimizar
sus utilidades corriendo los más mínimos riesgos posibles; las herramientas
más utilizadas son: la simulación de Montecarlo, las matrices de decisión, el
teorema bayesiano y de valores esperados y la medida VaR, que resumen
el riesgo total de una cartera de activos financieros (Hull, 2009), permiten
identificar la mejor forma de cubrir ese riesgo.
En los mecanismos de cobertura (Hedging), se debe cumplir con la regla
de que los activos deben ser iguales a los pasivos: quien, en una operación
obtiene un activo, debe adquirir un pasivo por igual valor y período de tiem-
po; esta es una operación de “suma cero”, donde las posibles pérdidas que
se puedan generar por una de las partes sean compensadas exactamente
por las ganancias generadas por la otra parte, renunciando, con ello, a las
posibilidades de obtener ganancias adicionales producto de la especulación
en los mercados. Siems (1996), afirma que: “los derivados financieros son
instrumentos que los bancos y corporaciones deben usar para administrar
mejor las exposiciones al riesgo” (p. 19).
2.2 Derivado Financiero
O´conor (1993), al igual que Lamothe (2003) y Mascareñas (2012) coin-
ciden con la definición de Lara (2005): “Estos instrumentos derivados son
acuerdos financieros cuyo valor depende o se deriva del valor de otro bien
denominado activo subyacente” (p.11). Los derivados pueden realizarse
sobre tasas de interés, tipos de cambio, precios de materias primas (com-
modities) y acciones, entre otros.
Los acuerdos financieros se hacen tangibles a través de obligaciones con-
tractuales celebradas entre los agentes, (hedgers), que desean cubrirse
del riesgo inherente a las variaciones del precio del activo subyacente
determinados en el mercado, y otros agentes (especuladores) que desean
asumir dicho riesgo con el fin de obtener una ganancia.
Los derivados se pueden desarrollar en los mercados denominados OTC
-Over the Counter.- (Hull, 2009) o, no organizados, donde los contratos
son hechos a la medida y de acuerdo con las necesidades de la partes
contratantes en lo que tiene que ver con precios, cantidades y tiempo, los
cuales, se realizan extrabursátilmente. Distinto de los mercados organizados
o estandarizados, que se realizan en el mercado bursátil y obedecen a unas
condiciones de precios, cantidades y tiempo, previamente determinadas y
que son asumidas por las partes interesadas.
En el mercado de derivados se encuentran, principalmente, cuatro ins-
trumentos que atienden las necesidades de cubrimiento específicas y de
acuerdo con las particularidades que requieren las partes contratantes:
Forwards, Futuros, Swaps y Opciones.
2.3 Opciones financieras
“Una opción la podemos definir como un contrato que da derecho a su
poseedor a vender o comprar un activo a un precio determinado durante
un período o en una fecha prefijada” (Fernández, 2003, p. 3).
Son contratos a plazos, que no son de obligatorio cumplimiento para una
de las partes (el tomador), es decir, estos derivados conceden derechos,
mas no obligaciones para el comprador. Las condiciones contractuales
se establecen previamente, pero el comprador puede hacer uso o no,
de la respectiva opción en cualquier momento de la negociación -opción
Americana- (Hull, 2009) o, al cumplirse el plazo -opción europea-. En este
tipo de instrumentos el tomador debe cancelar la prima o valor que le da
el derecho de tomar la opción, esta no es reembolsable ni hace parte del
valor de los activos transados. Las opciones de compra (call) o de venta
(put), son productos estandarizados y se transan en los mercados organi-
zados o bursátiles.
El contexto de las opciones financieras es extenso, mas no difícil de com-
prender, por ejemplo: el proceso de valoración de Opciones depende del
subyacente que sea objeto de negociación (acción, divisa, bono, tasa de
interés, tasa de cambio, bienes de consumo), y para cada una se utilizará el
modelo de Valoración más apropiado, basta con reconocer las herramientas
que se tienen a la mano para conseguir pronosticar los riesgos y la mejor
forma de evadirlos. Para el caso de las Opciones Europeas “el Modelo de
Black Scholes es importante, no sólo porque permite la valoración del ar-
bitraje, sino por proporcionar una solución analítica” (Mascareñas, 2012, p.
46), lo cual, se ilustrara en este artículo con una aplicación para acciones.
2.4 Modelo de Black Scholes
El modelo de Black Scholes, es una herramienta para la valoración de op-
ciones que surge en 1973, cuando Fisher Black, Myron Scholes y Robert
Merton lograron uno de los mayores avances en la valuación de opciones.
Su planteamiento ha tenido gran influencia en la forma en que los agentes
valúan y cubren opciones ya que, de allí, se han desarrollado distintos mo-
delos que aplican a opciones sobre diferentes activos, los que se pueden
dividir en dos enfoques a saber: Modelos analíticos, que son planteados en
tiempo continuo y que son prolongaciones del modelo proporcionado por
Black Sholes; y los modelos desarrollados por el empleo de algoritmos de
cálculo numérico: método binomial. (Fernández, 2003).
Según Mascareñas (2012) el modelo parte de los siguientes supuestos:
• El precio del activo sigue una distribución normal logarítmica, por lo que los rendimientos se distribuyen normalmente.
• El valor de los rendimientos es conocido y es directamente proporcio- nal al paso del tiempo.
• No hay costos de transacción, así que se puede establecer una cober- tura sin riesgos entre el activo y la opción sin ningún costo.
• Los tipos de interés son conocidos y constantes.
• Durante el período de ejercicio, la acción subyacente no pagará divi- dendos.
• Las opciones son de tipo europeo (p. 46)
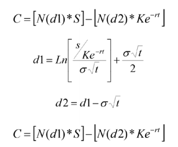
La fórmula que permite su cálculo es la siguiente:

Donde:
t : Tiempo en el que se puede ejercer el derecho, medido en años.
r : Tasa libre de riesgo anual.
S: Precio del subyacente.
E: Precio del ejercicio.
N(d1): Valor de probabilidad en una distribución normal para el punto d1
obtenido.
N(d2): Valor de probabilidad en una distribución normal para el punto d2
obtenido.
σ : representa la volatilidad de la opción, que para Castillo (2012) no es
más que una medida estadística que muestra la incertidumbre sobre los
rendimientos que se esperan y es establecida por las variaciones que se
han presentado en el precio de la opción durante determinado período de
tiempo, que puede venir expresado en días, semanas o meses. Es ne-
cesario tener en cuenta, que la especulación en el mercado de opciones
sustenta su importancia en la volatilidad, Castellanos (2005) considera
que este “es el parámetro a estimar si queremos entender como valorar
una opción” (p. 27). La “velocidad” con la que fluctúan los precios es la
volatilidad (Fernández, 2003).
N(d1)*S: representa la cantidad de acciones o cantidad de activos subya-
centes con lo que se obtiene la cartera que es réplica de la opción, de forma que al multiplicar este valor con el precio del subyacente se determina el
costo de la cartera que es réplica.
N(d2)*Ke-rt : Establece el valor que debe ser financiado a la tasa libre de
riesgo y para la opción que es réplica.
La diferencia obtenida entre el costo de la cartera réplica [N(d1)*S] con el
valor que se debe financiar la misma, N(d2)*Ke-rt, determina el costo de la
cartera réplica.
Bajo las anteriores situaciones, el modelo de Black Scholes es una relación
de arbitraje, en la que el valor de la opción se iguala al precio de mercado
de una cartera réplica.
2.5 Programa R-Project
Suárez y Rojas (2013) sostienen lo siguiente, acerca del programa R-Project
“…es un lenguaje de programación con el que se puede analizar un conjunto
de información estadística referida a diferentes áreas del conocimiento como
finanzas, mercados…además, permite el análisis de datos que van desde
la estadística descriptiva, hasta llegar a estudios mucho más complejo
como: análisis multivariado; series de tiempo, regresión múltiple, diseño
de experimentos, estadística no paramétrica, estimación bayesiana, opti-
mización, finanzas y muchos otros temas más” (p. 11).
Metodología
3.2 Metodología de Análisis y S íntesis
Se obtiene la información que permitió identificar el curso adecuado al mo-
mento de la construcción del marco teórico, con el fin de llegar a construir
un script en el programa R-Project que hizo posible la aplicación a la valo-
ración de opciones y se adecuó a las diversas situaciones que se podían
presentar. El proceso desarrollado fue el siguiente (basado en Metodología
de la investigación de la Universidad Autónoma de México):
• Descripción: Identificación de todos los elementos que hacen parte de
la problemática, el mercado de las opciones, su funcionamiento y el
manejo del programa R.
•Examen crítico: Se efectuó una revisión de la literatura que incluyó
una exploración rigurosa de cada una de las partes que intervienen en
la problemática, lo que permitió su descomposición y enumeración. Se
utilizaron las bases de datos que facilita la Universidad Nacional de
Colombia, trabajando en artículos con las siguientes características:
texto completo, publicación académica, artículo menor de 20 páginas,
en Inglés y Español. Adicionalmente, se realizaron algunas consultas en textos impresos.
• Clasificación: Se estudiaron las opciones con el fin de clasificar e
identificar los métodos de valoración, facilitando el seguimiento del
fenómeno analizado, reconociendo características, detalles, compor-
tamientos y así fue posible adecuarlo a las exigencias del programa
R-Project.
• Conclusión: Se genera el script, se corre y se ilustra su manejo.
Resultados
A continuación, se ofrece y aclara el script hecho en R-Project, con el cual
se obtiene el valor teórico de la Opción, utilizando un ejemplo hipotético,
(la información en cursiva y en negrilla corresponde a instrucciones del
programa):
Un contrato establece que se pueden comprar paquetes de 100
acciones de Ecopetrol a un precio fijo de $4300, suponga que el
derecho puede ser ejercido dentro de 3 meses, la tasa libre de riesgo
anual es de 2% y las acciones en el mercado están a $4135.
La información básica requerida para hacer la valoración y la manera como
se denota en el programa, es la siguiente:
S : Precio subyacente.
E : Precio ejercicio.
t : Tiempo en años.
r :Tasa libre de riesgo.
Vp : valor prima.
C : Valor teórico de la opción.
sigma : Volatilidad.
N : Número de acciones.
Se toma el valor de cierre de las acciones de Ecopetrol durante el 11
noviembre de 2010 al 14 de Febrero de 2014, se calcula el rendimiento
y la desviación estándar obteniendo el rendimiento diario. Para estable-
cer el valor anual, se multiplica la volatilidad diaria por la raíz cuadrada
de 252, asumiendo que las bolsas negocian 252 días en el año y el
radical obedece a las propiedades que presenta la varianza. Se tiene
lo siguiente:
“Datos básicos”
Sigma <- 0.2313479 # Valor de la volatilidad anual.
t <- 3/12 # Tiempo en el que puede ser ejercido el derecho, medido en años.
r <- 0.02
# Tasa libre de riesgo anual.
S <- 4135 # Precio del subyacente.
E <- 4300 # Precio del ejercicio.
N <- 100 # No de acciones negociadas
“Cálculos”
D1 log(S/(E*exp(-r*t)))/(sigma*(t^0.5)) + sigma*(t^0.5)/2 C
El resultado que arroja R- Project es: 130.62 Tabla No 1. Analisis de sensibilidad El gráfico1, representa la información del cuadro No1, evidenciando,
cómo el valor de la opción alcanza su cifra más alta cuando el precio del
ejercicio toma su menor valor y la disminución que sufre por aumentos
en el valor del ejercicio. En lo que respecta a las variaciones de la tasa
libre de riesgo, el valor de la opción aumenta lentamente cuando la tasa
se incrementa. El gráfico 2, representa los incrementos en la unidad de tiempo cuando
son constantes los demás parámetros; allí, se observa que la función es
creciente de forma cóncava y cómo aumenta el valor de la opción, ante
incrementos mensuales de la unidad de tiempo.
D2 D1 sigma*(t^0.5)
ZD1 <- pnorm(c(D1), mean = 0, sd = 1)
ZD2 <- pnorm(c(D2), mean = 0, sd = 1)
C <- ZD1*S - ZD2*E*exp(-r*t)
El valor teórico de una opción sobre la acción de Ecopetrol es de $130,62,
el lote de las 100 acciones será $13.062. Con la ayuda de R-Project es
posible efectuar cálculos para analizar la incidencia de los parámetros en
el valor de la opción; en las conclusiones, se encuentra el análisis y, en
el anexo, se ofrece el script con las instrucciones que permitieron obtener
los resultados.
Conclusiones
Influencia de los parámetros en el valor de la opción
El cuadro No.1 presenta la información del valor de la opción ante va-
riaciones en la tasa libre de riesgo y el precio del ejercicio si los demás
componentes permanecen constantes. Es claro, como ante la disminución
del precio del ejercicio, aumenta el valor de la opción. También es posible
observar, que ante un precio de ejercicio constante, y un incremento en la
tasa libre de riego, el valor de la opción aumenta lentamente.


Fuente: Elaboración propia.

Fuente: Elaboración propia.
El grafico 3, representa las variaciones del valor de la opción ante cambios
en la volatilidad, la función es creciente de forma convexa, notándose,
como ante variaciones en la volatilidad, el valor de la opción aumenta en
mayor proporción.

Fuente: Elaboración propia.
Bibliografía
Ávila, D. & Millán, C. (2004). Modelo Black-Scholes-Merton, para la toma de
decisiones financieras. Pachuca: Universidad Autónoma del Estado de Hidalgo,
México.
Castillo J. L. (2012). El modelo de Black Scholes de valoración de opciones
financieras. Trabajo Final de Grado, Grado de matemáticas, Facultad de
matemáticas, Universidad de Barcelona.
De Lara, A. (2005) Medición y Control de Riesgos Financieros. México: Editorial
Limusa, Tercera Edición.
De Lara, A. (2005) Productos Derivados Financieros, Instrumentos, valuación y
cobertura de riesgos. México: Editorial Limusa.
Esquivel, R. Correa, E. (2008) Modelos de crisis y el uso de los instrumentos
financieros derivados. Revista latinoamericana de economía, 39 (55), 11-27.
Fernández, P. L. & Pérez, M. (2003). Opciones Financiera y Productos Estructurados.
Madrid: McGRAW-HILL/INTERAMERICANA DE ESPAÑA, S. A. U. Faresco, S.A.
Hernández, L. (2003) Los Riesgos y su Cobertura en el Comercio Internacional.
Madrid: FC Editorial.
Hull, J. (2009) Introducción a los Mercados de Futuros y Opciones. México: Editorial
Pearson, sexta Edición.
Jiménez, M. & Zabala, G. (2010) Uso De Derivados Para El Cubrimiento De Riesgo
Operativo Y Crediticio En Empresas Manufactureras En Colombia. Bogotá: Pontificia
Universidad Javeriana.
Kozikowski, Z. (2009) Finanzas Internacionales. México: Mc Graw Hill.
Mascareñas J. (2012). Mercado de derivados financieros: Futuros y Opciones.
Madrid, España: Universidad Complutense de Madrid.
O´conor. S. (1992) Factores de desarrollo del mercado de derivados: la experiencia
de Canadá. Centro de Estudios Monetarios Latinoamericanos. Revista monetaria,
123- 175.
Siems, F. (1996) Los derivados financieros: ¿se justifican nuevas regulaciones?
Boletín del CEMLA, 18- 28.
Suárez, J. F. & Rojas, R. (2013). Fundamentos Básicos para manejo de R en
estadística descriptiva. Impreso en la Sección de Publicaciones e Imagen de la
Universidad Nacional de Colombia, Sede Manizales.
Ricardo Alfredo Rojas Medina
rarojasm@unal.edu.co
Profesor Asociado Universidad Nacional de Colombia, Sede Manizales. Especialista
en Evaluación Socio-económica de Proyectos, Universidad de Antioquia. Magíster
en Investigación de Operaciones y Estadística, Universidad Tecnológica de Pereira
Daniel Tabares Peralta
daniel@umanizales.edu.co
Economista Universidad de Manizales. Docente investigador. Especialista en Política
Económica, Universidad de Antioquia. Especialista en Evaluación Socio-Económica
de Proyectos de Inversión, Universidad de Antioquia. Magíster en Ciencias Eco-
nómicas, Universidad Nacional de Colombia. Estudiante Doctorado en Desarrollo
Sostenible, Universidad de Manizales. Profesor Asociado Universidad Nacional de
Colombia, Sede Manizales. Profesor Titular Universidad de Manizales, Facultad de
Ciencias Económicas, Administrativas y Contables. Docente en los programas de
Economía, Administración de Empresas, Especialización en Gerencia Estratégica
de Proyectos, Maestría en Administración, Maestría en Desarrollo Sostenible y
Medio Ambiente.
Mónica Viviana Arango
mvarangoo@unal.edu.co
Estudiante de Administración de Empresas en la Universidad Nacional de Colom-
bia, Sede Manizales. Participante del Semillero de Investigación en Simulación
Financiera. Estudiante becario en el Área de Finanzas, en Contabilidad y Costos.